Применение ГЭУ двойного рода тока. ГЭУ на судах с единой судовой электростанцией (ЕСЭ)
На многих судах, например, рыбопромысловых, научно-исследовательских, мощность палубных и других механизмов соизмерима с мощностью тепловых двигателей, приводящих в действие гребные винты.
Периоды использования судовой электростанции и главных двигателей не совпадают. Так, в процессе лова электростанция работает с большой нагрузкой, а главные двигатели с малой, а при ходе к месту лова – наоборот. Поэтому на таких судах целесообразно применять единую судовую электростанцию (ЕСЭ) переменного тока, от которой получают питание все потребители электроэнергии, в том числе и ГЭД. Достоинства ГЭД постоянного тока в том, что изменяя напряжение питания можно регулировать частоту вращения в широких пределах. Сеть переменного тока от электростанции имеет постоянные частоту и напряжение, а величина напряжения постоянного тока для ГЭУ регулируется при помощи управляемых выпрямителей.
Также в системах с ЕСЭ могут быть применены ГЭД переменного тока с преобразователями частоты. Но системы управления для ГЭД постоянного тока, более просты и имеют более высокие энергетические показатели.
Гребными электрическими установками постоянного тока обычно называют установки, в которых гребной винт приводится в действие электродвигателем постоянного тока. В этом случае частота вращения гребного винта изменяется в широких пределах при изменении напряжения, подводимого к якорю ГЭД (гребного электродвигателя).
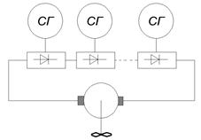
Схемы соединения системы (СГ-В) с ГЭД и схемы соединения генераторов постоянного тока могут быть одинаковыми. Однако последовательное соединение выпрямителей возможно только в том случае, когда они подключены к разным, электрическим не связанным генератором или обмоткам (одного генератора). Типовая схема главного тока имеет вид, показанный на рисунке 8.5.

Рис.8.5. Типовая схема главного тока
Генераторы и ГЭД могут электрически соединяться последовательно и параллельно. Схема последовательного соединения генераторов (рис. 8.6).

Рис.8.6. Схема последовательного соединения генераторов
Она позволяет полностью использовать мощность включенных генераторов. При этом напряжение на ГЭД равно:

где: mн - полное число генераторов,
m – число работающих генераторов.
А мощность:
.
При таком включении напряжения складываются, что может привести к перенапряжениям.
При параллельном соединении генераторов ток в цепи вычисляется по выражению:
;
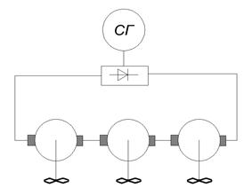
Схема последовательного соединения ГЭД, находящихся на гребных валах, (рис. 8.7) применяется редко и требует автоматического изменения магнитного потока малых частотах вращения из-за неравенства моментов сопротивления.

Рис.8.7. Схема последовательного соединения ГЭД, находящихся на разных гребных валах
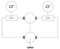
Схема попеременно-последовательного соединения генераторов и электродвигателей, показанная на рисунке 8.8 удобна тем, что между любыми точками схемы напряжение не превышает напряжения одного генератора.

Рис.8.8. Схема попеременно-последовательногот соединения генераторов и электродвигателей ГЭУ






