Если мы имеем функцию суммы или разности двух независимых величин
(18)
то квадрат средней квадратической ошибки функции выразится формулой:
(19)
При тх = ту = т
(20)
Пример. Линия на плане масштаба 1:5000 измерена по частям. Одна часть длиной 600,5 м, вторая часть длиной 400,0 м. Найти средние квадратические ошибки суммы и разности этих длин и соответствующие им относительные ошибки.
Ответ. Средняя квадратическая_ошибка суммы и разности двух длин будет тг = 0,7 м, где т = 0,5-точность масштаба. Относительные ошибки суммы и разности длин соответственно равны
0,7/1000,5=1/1 400 и 0,7/200,5=1/300
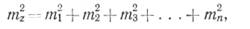
Если функция имеет вид
(21)
то
(22)
т. е. квадрат средней квадратической ошибки алгебраической суммы аргументов равен сумме квадратов средних квадратиче-ских ошибок слагаемых.
Если m1 = m2 = m3 =... = mп = m. то формула (22) примет вид
(23)
т. е. средняя квадратическая ошибка алгебраической суммы (разности) измеренных с одинаковой точностью величин в √п раз больше средней квадратческой ошибки одного слагаемого.
Пример. В шестиугольнике каждый угол измерен с одинаковой точностью 0,5', средняя квадратическая ошибка суммы всех измеренных углов будет

(24)
то 
(27)
Из формулы (27) следует, что квадрат средней квадратической ошибки функции общего вида равен сумме квадратов произведений частных производных по каждому аргументу на среднюю квадратическую ошибку соответствующего аргумента.