Тема 7 Ранговая корреляция
Задания для самостоятельной работы.
1. В группе учеников объемом 15 человек исследовали силу связи между уровнем интеллекта и средними показателями школьной успеваемости. Выяснилось, что коэффициент Rxy = 0,65. Как можно проинтерпретировать полученный результат?
2. На выборке из 7 человек было проведено сравнительное исследование уровня интеллектуальной ригидности и уровня интеллекта. Данные приведены в таблице. Вычислить (вручную!) коэффициент линейной корреляции и определить уровень его статистической значимости. Дать интерпретацию.
| Показатели интеллектуальной ригидности | Уровень интеллекта |
3. Определить силу корреляционной связи и значимость полученного коэффициента.
4. Вычислить коэффициент корреляции и определить его значимость для задания 1 из предыдущего раздела.
5. Провести корреляционный анализ показателей субтестов «осведомленность» и «скрытые фигуры» (Таблица I Приложения) для первых 12 человек.
6. Рассчитать формулу регрессионного уравнения зависимости роста от веса из приведенного в данном разделе примера и построить соответствующий график.
7. Провести регрессионный анализ показателей среднего балла интеллекта и показателей успеваемости (Таблица I Приложения) для первых 20 человек.
Вычисление ранговой корреляции позволяет определить силу и направление корреляционной связи между двумя признаками, измеренными в ранговой шкале или между двумя иерархиями признаков. При этом по каждой переменной должно быть представлено не менее 5 наблюдений. Для вычисления ранговой корреляции используют 2 метода: вычисление коэффициента Спирмена и коэффициента Кенделла. Какой из этих двух методов использовать, зависит от предпочтения исследователя.
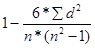
Коэффициент ранговой корреляции Спирмена подсчитывается по формуле:
rs = 
Пример: у группы студентов были измерены показатели социального интеллекта (композитная оценка) по тесту Гилфорда и показатели уровня агрессивности по тесту Ассингера. Насколько можно ставить вопрос о наличии связи между этими двумя личностными свойствами? Проверка данных на нормальность распределения показывает, что они не распределены по кривой Гаусса. Следовательно, для их обработки нельзя использовать анализ линейной корреляции. Данные заносятся в таблицу и переводятся из метрических значений в ранговые. При этом выдвигаются гипотезы:
Н0: корреляция между показателями социального интеллекта и уровня агрессивности значимо не отличается от нуля (является случайной).
Н1: корреляция между показателями социального интеллекта и уровня агрессивности значимо отличается от нуля (является неслучайной).
| № | Социальный интеллект | Уровень агрессивности | Разность рангов (d) | Квадрат разности рангов (d2) | ||
| Метрические значения | ранг | Метрические значения | ранг | |||
| -9 | ||||||
| -12 | ||||||
| -10 | ||||||
| -7 | ||||||
| -1 | ||||||
| -5 | ||||||
| Σd2 = 736 |
Подставляя нужные значения в формулу, рассчитываем эмпирическое значение rs.
rs =
≈– 0,307.
Таким образом, мы приходим к выводу, что наблюдается умеренная отрицательная корреляция между показателями социального интеллекта и уровня агрессивности.
Уровень статистической значимости определяется по той же таблице, что и для коэффициента Пирсона.
| n | p = 0,1 | p = 0,05 | p = 0,01 | p = 0,001 |
| 0,441 | 0,514 | 0,641 | 0,760 |
Для данного объема выборки (n=15) минимальное критическое значение rs составляет 0,441 при р = 0,1. То есть полученные результаты находятся ниже самого минимального порога статистической значимости, и мы можем уверенно принять нулевую гипотезу (rsэмп < rsкр (р > 0,1) Þ Н0!). Возможно, что для получения более достоверных результатов следовало бы увеличить объем выборки.