Фамилия, имя, отчество _________________ группа ____________
I. Учебная деятельность. С кем из студентов вашей группы вы предпочли бы готовиться к экзаменам?
1. ________________ 2. ________________ 3. ________________
II. Трудовая деятельность. С кем из студентов вы пошли бы работать на производственную практику в коммерческую фирму, с условием, что во время практики вам начисляют зарплату, и ее размер зависят от вклада каждого из сотрудников?
1. ________________ 2. ________________ 3. ________________
III. Досуг. С кем из студентов вашей группы вы предпочли бы пойти в турпоход?
1. ________________ 2. ________________ 3. ________________
В опросном листе следует сделать необходимое число выборов (или меньше этого числа). Существует параметрический и непараметрический вариант проведения исследования. В случае параметрического варианта проведения процедуры, при определении количества выборов рекомендуется пользоваться следующим соотношением.
| Число членов группы | 5 - 7 | 8 - 11 | 12 - 16 | 17 - 21 | 22 - 26 | 27 - 31 | 32 – 36 |
| Количество выборов |
Возможен также непараметрический вариант проведения социометрии, когда каждый член группы может сделать столько выборов, сколько считает необходимым. В нашем примере будет рассмотрен именно вариант непараметрической социометрии – без ограничения количества выборов.
Выбор одного и того же сокурсника может повторяться в разных сферах деятельности. В нашем примере предусмотрены только положительные выборы. Но при работе с космонавтами, подводниками, сотрудниками спецподразделений и т. п., допускается использование и отрицательных выборов (отвержений).
| кого кто | Σ сделанных выборов | Еi | ||||||||||||
| 1. Иванов | 0,82 | |||||||||||||
| 2. Петрова | 0,45 | |||||||||||||
| 3. Сидоров | 0,27 | |||||||||||||
| 4. Кузнецов | 0,36 | |||||||||||||
| 5. Попов | 0,36 | |||||||||||||
| 6. Романов | 0,73 | |||||||||||||
| 7. Макаров | 0,36 | |||||||||||||
| 8. Сергеев | 0,18 | |||||||||||||
| 9. Волкова | 0,36 | |||||||||||||
| 10. Зайцева | 0,18 | |||||||||||||
| 11. Лисицин | 0,09 | |||||||||||||
| 12. Медведева | 0,36 | |||||||||||||
| Σ полученных выборов | ||||||||||||||
| Si | 0,64 | 0,55 | 0,18 | 0,18 | 0,18 | 0,27 | 0,45 | 0,27 | 0,18 | 0,45 | 0,55 | 0,64 |
Данные опроса заносятся в социометрическую матрицу. В матрице каждому тестируемому отводится одна строчка по горизонтали и одна графа по вертикали. В соответствующих ячейках отмечается количество выборов и общая сумма выборов, сделанных данным респондентом. Клетки по диагонали заштриховываются, так как самовыборы исключаются. Здесь дан пример социоматрицы для группы из 12 человек.
Следующий этап – составление социограммы, дающей наглядное раскрытие структуры взаимосвязей в коллективе. Все испытуемые делятся по сумме полученных выборов на несколько страт. Получившие большинство выборов относятся к так называемой группе «звезд», а получившие мало выборов относятся к «отвергаемым». Границы верхней и нижней страт расчитываются по следующей формуле:

х – границы доверительного интервала;
- среднее количество выборов, приходящихся на одного человека;
- выборочное отклонение;
t – поправочный коэффициент, учитывающий отличие эмпирического распределения от теоретического (определяется по таблице Сальвоса, данной в приложении).
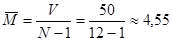
Для определения этих величин надо также произвести дополнительные вычисления.
где V- общее количество выборов, сделанных всеми членами группы, а N – число членов группы.
где
– оценка вероятности быть выбранным в данной группе.
где
- оценка вероятности оказаться отвергнутым в данной группе.
где
- отклонение количества полученных индивидами выборов от среднего их числа, приходящегося на одного члена группы;
, где
- степень отклонения распределения выборов от случайного.
Далее иллюстрируется процедура расчетов.
В нашем случае V = 50, N = 12. 



Следующий этап – определение величины t отдельно для правой и левой частей распределения. В левой части таблицы приведены значения для нижней границы доверительного интервала, а в правой – для верхней. Для обеих границ (верхней и нижней) значения даны для трех различных вероятностей допустимой ошибки:
p £ 0,05; p £ 0,01; p £ 0,001
Для уровня значимости p £ 0,05 поправочней коэффициенты t равны –1,62 и 1,67. Данные значения заносятся в формулу вычисления доверительных интервалов:


Таким образом, получившие 2 или менее выборов приобретают самый низший социометрический статус, а получившие 7 или более выборов - высший статус. Между «звездами», и «отвергаемыми» располагается страта «принимаемых». Допуская ошибку не более чем на 5 %, можно утверждать, что лидерами являются те, кто получил не менее 7 выборов, а низкий статус – у испытуемых, получивших менее двух выборов.
В нашем случае распределение можно провести следующим образом:
| Статус | Количество полученных выборов | Фамилии |
| Звезды | 1, 12 | Иванов, Медведева |
| Принимаемые | 6, 5, 4 | Петрова, Романов, Макаров, Сергеев, Зайцева, Лисицин |
| Отвергаемые | Сидоров, Кузнецов, Попов, Волкова |
В результате мы имеем информацию, необходимую для построения социограммы.

На основе информации содержащейся в матрице определяют социометрические индексы, дающие количественные характеристики отношений каждого члена группы и всей группы в целом.
Si =
| Социометрический статус члена группы (отношение группы к одному из ее членов). |
Ei =
| Индекс эмоциональной экспансивности (стремление члена группы сотрудничать с другими членами группы). |
G =
| Индекс групповой сплоченности (степень взаимосвязанности членов группы) |
Вслед за этим проводится интерпретация полученных результатов.






