Вдавливание в горную породу жесткого цилиндра
Половина ширины площадки контакта можно определить по формуле:
,
где Р1 - нагрузка на единицу длины образующей цилиндра;
R - радиус цилиндра.
Распределение давления по ширине контакта полностью описывается уравнением:
,
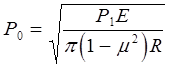
Р0 - максимальное нормальное давление на площадке контакта, которое можно подсчитать:
.
Установлено, что максимальные напряжения имеют место на плоскости симметрии на некоторой глубине от поверхности и зависят только от коэффициента Пуассона. Графически распределение давления представлено на рис.33.

Рис.33






