Разрушение горных пород и упругие характеристики
Практическое использование данных механических свойств горных пород
Условия разрушения горных пород на забое далеки от условий проведения экспериментов. (Н0), учитывая то, что определение твердости горных пород методами вдавливания штампов представляют собой модель процесса, определяющего разрушение, имеет большую практическую ценность.
Кроме этого, методами вдавливания штампа определяется совокупность механических характеристик, с помощью которых можно осуществить энергетическую оценку процессов разрушения при бурении.
Располагая материалами по механическим характеристикам горных пород можно производить качественную оценку процессов разрушения горных пород, анализировать применяемые и устанавливать необходимые режимы бурения для осуществления наиболее эффективного разрушения горных пород.
На основании данных исследования различных форм штампов, можно выбрать наиболее рациональную геометрию породоразрушающего инструмента.
Изучение механических свойств горных пород позволяет более отчетливо определить пути дальнейшего совершенствования технологии и техники бурения, создания новых способов разрушения горных пород и т. д.
При динамическом разрушении горных пород картина (зона разрушения) механизма разрушения аналогична статическому вдавливанию (см. рис.41).

Рис.41
В первоначальный период вдавливания на поверхности породы отмечается только след штампа, а далее появляется кольцевой скол. С увеличением энергии удара на штамп размер скола увеличивается незначительно. Основной прирост объема разрушения идет в результате постепенного погружения штампа.
Динамические характеристики горных пород можно определить следующим образом. Одна из таких характеристик - динамический модуль упругости (Ед), которую можно определить по формуле:
,
где С - скорость распространения упругой продольной волны в образце породы, изготовленного в виде стержня (малые образцы);
r -плотность горной породы.
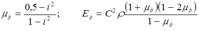
Для больших образцов породы возможно определить коэффициент Пуассона (mд) и модуль упругости (Ед):
;
где
- динамический коэффициент Пуассона;
- динамический модуль упругости,
- отношение скорости распространения поперечной волны к скорости распространения продольной волны в породе, вызванные в результате удара.
По величине скорости поперечной волны (Сn) можно определить модуль деформации при сдвиге:
,
где r - плотность породы.
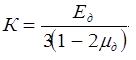
Значение
позволяют определить модуль объемной деформации (уже известный вам), т. е.:
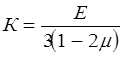
только:
.
Следует отметить, что динамический модуль Юнга значительно превышает статический (см. табл.):
| №п/п | Горная порода | Статический модуль Юнга Е, кгс/мм2 | Динамический модуль Юнга Ед, кгс/мм2 | |
| Ангидрит | 3,66 | |||
| Известняк | 3,53 | |||
| Доломит | 4,95 |
В процессе бурения скважин в значительной степени наблюдается усталостное разрушение. Установлено, что чем глубже ведется бурение, доля усталостного разрушения растет.
Усталостный процесс разрушения аналогичен схеме динамического разрушения, однако, необходимо, чтобы удельная нагрузка на породу была не менее ее предела усталости.
На графике (рис.42) показана зависимость разрушающих напряжений (sу) от числа циклов нагружения N. На этом графике показана усталостная кривая, которая описывается уравнением: , где m - показатель степени усталостной кривой; Су - постоянная усталостной кривой. | Рис.42 Усталостная кривая |
, где m - показатель степени усталостной кривой; Су - постоянная усталостной кривой.
Рис.42 Усталостная кривая 





