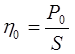
Методика испытания горных пород при определении
Для определения механических свойств в горную породу вдавливается двусторонний клин в виде резца с углом заострения 600.
По глубине лунки, полученной в результате вдавливания такого клина, определяется площадь контакта между породой и индентором, а затем по нагрузке и площади контакта определяется критическое напряжение или (как принято называть) агрегатная твердость породы по следующей формуле:
,
где Ра - твердость (агрегатная);
Р - нагрузка на резец;
d - глубина лунки;
- длина лезвия резца;
a - угол при вершине.
По этой формуле определяют твердость только высокопластичных пород при внедрении в них индикатора в виде резца.
Наиболее удобной формой индентора является форма цилиндра, т. к. В этом случае не происходит увеличения площади контакта в процессе увеличения нагрузки. При вдавливании цилиндрического штампа возможно определить твердость горных пород, их упругие и пластические характеристики.
ГОСТом 12288 - 66 предусматривается ряд требований, которые необходимо строго соблюдать для получения сопоставимых результатов.
Испытуемые образцы горных пород должны быть высотой 30-50 мм и диаметром 40-60 мм, причем торцевые поверхности должны быть строго параллельно друг другу отшлифованы. Вдавливаемые штампы изготавливаются из качественной стали с последующей термообработкой с целью получения высокой прочности и жесткости.
Эти штампы могут иметь следующий вид и размеры(рис.38).
Величина диаметра рабочей части таких инденторов (d) подбирается в зависимости от твердости испытуемых пород.
При исследовании плотных и однородно пористых пород используются штампы площадью 2 мм2, а при исследовании высоко пористых, малопрочных пород - 5 мм2 и более.

Рис.38
Цилиндрические штампы
Такие исследования проводятся с помощью автоматического прибора УМГП-3 и УМГП-4, у которых с ростом нагрузки записывается величина внедрения штампа в поверхность испытуемого образца. Прибор УМГП-3 рассчитан на работу в 4 диапазонах нагрузки (0-100, 0-250, 0-500, 0-1000 кгс) с предельной глубиной внедрения 750 мк.
Нагружение при испытаниях ведется до хрупкого разрушения. В результате опыта на при боре записывается график, по виду которого можно определить характер поведения породы при вдавливании в ее поверхность цилиндрического штампа. На рис.39 показаны характерные графики испытания различных пород).

Рис.39
Характерные графики нагрузка-глубина вдавливания штампа для пород:
а - хрупких; б - пластично-хрупких; в - высокопластичных и сильнопористых
Эти три графика определяют три класса горных пород при вдавливании штампа.
Для хрупких пород твердость по штампу определяется по формуле:
,
где Рр - нагрузка в момент хрупкого разрушения;
S - площадь рабочей поверхности штампа.
Для пластично-хрупких твердость по штампу можно также определить по формуле для хрупких пород. Для этих пород можно определить также предел текучести по формуле:
,
где
- предел текучести в кгс/мм2 (107 Н/м2).
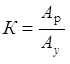
Пластичность испытуемой породы можно определить по формуле:
,
где Ар - работа деформирования до разрушения;
Ау - работа упругого деформирования.
Эти величины определяются графически, т. е.
,
где m - масштаб графика
в размерности работы.
Подставить значения Ар и Ау в формулу пластичности К можно записать:
.
Величину К принято еще называть коэффициент пластичности.
Для хрупких пород упругая деформация
равна деформации разрушения
, а это значит, что пластичность таких пород К = 1.
При исследовании высокопластичных пород и сильно пористых пород по этому методу можно определить только предел текучести
. Коэффициент пластичности (К) в этом случае принимается равным бесконечности.
Для области прямой пропорциональности между нагрузкой и глубиной внедрения индентора модуль деформации при вдавливании определяется по формуле:
,
где С - модуль деформации при вдавливании;
Р - нагрузка на штамп;
d - диаметр штампа;
- погружение штампа (соответствующее изменение нагрузки от нуля до величины Р).
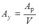
Этот метод вдавливания штампа позволяет также определить одну из важных характеристик горных пород - удельную объемную работу разрушения Ау:
,
где Ар - общая работа до разрушения;
V - объем лунки разрушения в см3.
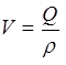
Объем лунки определяется опытным путем. Лунка заполняется парафином. Затем парафин извлекается из лунки и взвешивается. Далее, объем лунки определяется по формуле:
,
где Q - вес парафина, извлеченного из лунки в г;
r - плотность парафина в г/см3.






