Рис.30 | Если нагрузка, приложенная к сфере, равна нулю (т.е. Р = 0), то контакт этой сферы с поверхностью породы будет осуществляться в точке (рис.30). |

Рис.31
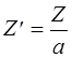
В случае приложения нагрузки на сферу контакт между сферой и горной породой будет происходить по круглой площадке, радиус которой можно подсчитать по формуле:
.
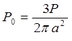
В центре площадки давления, т. е. по оси Z будет максимальное давление, которое подсчитывается так:
.
При удалении от центра к периферии величина давления (Р) изменяется (уменьшается) по следующему закону:
.
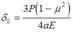
Перемещение вглубь тела (первоначальной) точки контакта зависит от величины приложенной нагрузки и определяется по формуле:
.
При вдавливании сферы область всестороннего сжатия значительно меньше, чем при вдавливании цилиндрического пуансона. Область максимальных касательных напряжений в этом случае находится на оси симметрии (ось Z) и на некоторой глубине, равной» 0,5а, а также на контуре давления.
Графически эта картина выглядит так, как представлено на рис.31 б.
Максимальные касательные напряжения по оси симметрии можно подсчитать по формуле:
,
где
.
| Если мы будем вдавливать прямоугольный штамп, то картина максимальных касательных напряжений будет выглядеть так, как это показано на рис.32. (Также в относительных единицах). | Рис.32 |
Рис.30
Рис.32 





