Рассмотрим частные случаи термодинамических процессов.
Изохорный процесс (
).
Изохорным называется термодинамический процесс, протекающий при постоянном объеме (изос – равный, хора – пространство, греч.). Примером изохорного процесса может служить нагревание или охлаждение газа в закрытом сосуде (в баллоне). На практике этот процесс встречается в циклах ДВС при сжатии топлива.
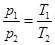
Уравнение изохорного процесса получаем из уравнений состояния идеального газа
и
в начальной и конечной точках процесса. Отсюда
(7.1)
Давление в изохорном процессе пропорционально температуре газа.

Рис. 7.1 а) рабочая диаграмма изохорного процесса; б) тепловая диаграмма изохорного процесса.
На рисунке 7.1 показаны процессы подвода и отвода теплоты при
в
и
диаграммах. Процесс 1-2 это процесс подвода теплоты, процесс 1-2' – отвод теплоты. Работа в изохорном процессе равна нулю, так как
и
. Все подведенное (или отведенное) количество теплоты идет на изменение внутренней энергии.
Следовательно, доля тепла пошедшего на увеличение внутренней энергии
|
|
|
(7.2)
Количество теплоты определяется через изохорную теплоемкость и разность температур
, Дж/кг (7.3)
Это количество теплоты можно определить также как площадь под кривой процесса в тепловой диаграмме.






