Термодинамический процесс, протекающий при постоянной температуре называется изотермическим (изос – равный, термо – тепло). Из уравнения состояния идеального газа
следует, что при 
(7.8)
Давление в изотермическом процессе обратно пропорционально удельному объему.
(7.9)
В
диаграмме (рис. 7.3) уравнение
изображается равнобокой гиперболой, в
координатах изотермический процесс – прямая линия, параллельная оси абсцисс. Приращение внутренней энергии в процессе не происходит, так как при
величина
, и следовательно
.

Рис. 7.3 а) рабочая диаграмма изотермического процесса;
б) тепловая диаграмма изотермического процесса.
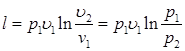
Работа процесса
(7.10)
Вместо
в выражении (7.10) можно подставить
. И тогда
(7.11)
Уравнение (7.11) можно представить в виде:
(7.12)
Так как приращение внутренней энергии не происходит, то внесенная в процесс теплота трансформируется в работу. С термодинамической точки зрения изотермический процесс является наиболее совершенным процессом.






