Адиабатным называется процесс, протекающий без теплообмена с окружающей средой. Соответственно, в течении всего процесса
. Адиабатными считаются не только процессы, проходящие в хорошо изолированных системах, но и быстротекущие процессы, такие, как сжатие газа в компрессоре, истечение пара со скоростью 1500...2000 м/с на лопатки турбины, расширение газов при выстреле и т.д.
Основное уравнение адиабатного процесса
(7.13)
Здесь
– показатель адиабаты, равный отношению изобарной к изохорной теплоемкости
(7.14)
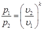
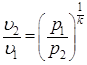
Из уравнения (7.13) следует:
.
Откуда
(7.15)
либо
(7.15')

Рис. 7.4 а) рабочая диаграмма адиабатного процесса; б) тепловая диаграмма адиабатного процесса.
На рис. 7.4 показаны рабочая и тепловая диаграмма адиабатного процесса. Из рис. 7.4(а) видно, что работа расширения в адиабатном процессе выражается площадью 1-2-b-a.
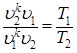
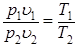
Записав характеристическое уравнение для точек 1 и 2
и
поделим первое выражение на второе и получим
(7.16)
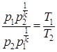
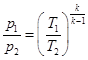
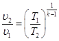
Воспользуемся выражениями (7.15), (7.15') и подставим их в выражение (7.16)
|
|
|
и 
откуда окончательно получим
и
(7.17)
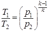
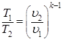
Уравнения (7.17) можно представить также в виде:
и
(7.18)
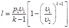
Так как адиабатный процесс идет без теплообмена, то все изменение внутренней энергии расходуется на совершение работы
или
(7.19)
Используя полученные ранее уравнения и выражение (7.19) можно получить следующие уравнения для расчета работы
(7.20)
(7.21)






