Термодинамический процесс, протекающий при постоянном давлении называется изобарным (изос – равный, барос – тяжесть, греч.).
Из уравнений состояния

получаем соотношение
(7.4)
Отношение удельных объемов в изобарном процессе пропорционально отношению абсолютных температур.
Этот процесс, являющийся составной частью циклов ДВС и ГТУ изображен на рис. 7.2. В процессе 1-2 осуществляется подвод, а в процессе 1-2' – отвод теплоты.

Рис 7.2 а) рабочая диаграмма изобарного процесса;
б) тепловая диаграмма изобарного процесса.
На рис. 7.2(а) площадь под кривой процесса 1-2 соответствует количеству полученной работы, площадь под процессом 1-2' – соответствует количеству работы затраченной.
Изменение внутренней энергии в процессе 1-2
(7.5)
Полученная работа в процессе 1-2
(7.6)
Затраченная в процессе 1-2' теплота
(7.7)
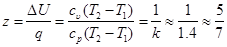
Доля теплоты затраченной на изменение внутренней энергии

Следовательно, на производство работы израсходовано всего
.






