Термодинамическим циклом, или круговым процессом, называется процесс, при котором термодинамическая система, выйдя из первоначального состояния, снова возвращается в это состояние. Все параметры и функции состояния, изменяясь в процессе, в конце цикла принимают свое первоначальное значение.
В процессе расширения (за счет подведенного тепла) газ производит работу расширения. Для того, чтобы повторить тот же процесс расширения и вновь получить работу, необходимо вернуть газ в исходное состояние, отняв тепло и сжав газ.
Но для этого необходимо затратить работу, которую получают от внешнего источника. Понятно, что процесс сжатия газа нужно вести не по пути расширения, иначе вся работа расширения будет затрачиваться на сжатие и суммарная работа будет равна нулю. Поэтому путь процессов выбирают таким образом, чтобы работа расширения была больше работы сжатия. Так как работа процесса выражается площадью под кривой процесса, то для получения положительной работы цикла необходимо, что бы кривая процесса сжатия была расположена ниже кривой процесса расширения.
|
|
|

Рис. 7.5 а) изображение прямого цикла в рабочей диаграмме; б) изображение обратного цикла в рабочей диаграмме.
На рис. 7.5 изображены прямой и обратный циклы в
диаграмме. Циклы позволяют осуществлять превращение тепла в работу (рис. 7.5а) либо непрерывный отвод и передачу тепла с низшего температурного уровня на высший (рис. 7.5, б – обратный цикл).
Из рис. 7.5(а) видно, что площадь внутри цикла выражает полученную в результате цикла работу за счет разности подведенного тепла
(процесс 1-a-2) и отведенного тепла
(процесс 2-b-1). В прямом цикле происходит превращение теплоты в механическую работу.
Обратный цикл (рис. 7.5б) осуществляет перенос теплоты от холодного тела к нагретому за счет затраты работы, эти циклы называются холодильными. В них расширение рабочего тела происходит при более низком давлении, чем сжатие.
Тепловой двигатель – это система, осуществляющая непрерывные круговые циклы, в которых теплота превращается в работу. Вещество, за счет изменения состояния которого получают работу в цикле, называется рабочим телом.
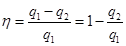
Эффективность превращения теплоты в работу в цикле характеризуется термическим коэффициентом полезного действия цикла
, который представляет собой отношение работы, совершенной системой за цикл,
к количеству подведенной к системе теплоты 
(7.22)
Термический КПД характеризует степень совершенства цикла. Чем больше
, тем совершеннее цикл, тем большая работа производится при подводе одного и того же количества теплоты.
Теплота подводится от горячего источника теплоты, а отбирается холодным источником теплоты. Значение КПД цикла зависит от значений температур, при которых происходят процессы подвода и отвода теплоты.
|
|
|






