Преобразование теплоты в работу возможно только при условии передачи части теплоты холодному источнику.
В 1850 году Клаузиус предложил формулировку второго начала термодинамики: Теплота не может сама собой переходить от более холодного тела к более нагретому.
Формулировка В. Томсона (лорда Кельвина) звучит так: Невозможен процесс, единственный результат которого состоял бы в поглощении теплоты от нагревателя и полного преобразования этой теплоты в работу.
С этой формулировкой перекликается предлагаемая М. Планком: Невозможно построить действующую машину, все действие которой сводилось бы к поднятию груза и охлаждению теплового источника.
Суть этих высказываний сводится к необходимости иметь два источника теплоты – горячий и холодный, потому что для получения работы в замкнутом цикле необходимо не только подвести, но и отвести теплоту.
Резюмируя можно отметить, что для непрерывного действия теплового двигателя (или холодильной машины) необходимо на одном участке цикла теплоту к рабочему телу подводить, а на другом – отводить.
|
|
|
Простейший обратимый цикл, для осуществления которого необходимо рабочее тело и два источника теплоты (горячего и холодного).
К рабочему телу в т. А (рис. 7.6) от горячего источника подводится теплота, газ расширяется (толкая поршень и производя работу). Процесс A-B – изотермический, поэтому что бы не произошло понижение температуры при расширении газа – к нему подводится теплота. В точке B процесс подвода теплоты прекращается, и дальнейшее расширение идет с понижением температуры от значения
до значения
. Этот процесс в силу скоротечности идет без теплообмена (по адиабате), в результате его производится работа за счет внутренней энергии газа. Т.е. газ отдавая свою внутреннюю энергию (снижаются и давление газа, и его температура), трансформирует ее в работу (например толкая поршень или вращая ротор турбины). В точке C процесс расширения оканчивается. После этого газ необходимо сжать за счет приложения внешней работы. В этом процессе от газа отводится теплота к холодному источнику, процесс идет по изотерме, поэтому температура газа не изменяется. В точке D отвод теплоты прекращается, дальнейшее сжатие происходит без теплообмена, процесс D-A идет по адиабате. Работа расширения полученная в цикле – представляет собой площадь под кривой A-B-C в
диаграмме. Работа, затраченная на сжатие – площадь под кривой C-D-A. И тогда площадь внутри замкнутой кривой A-B-C-D-A представляет собой полезную работу, полученную в цикле. Известно, что
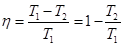
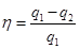
(7.22)
и
;
(7.10)

Рис. 7.6 Цикл Карно а) изображение цикла Карно в Ts-диаграмме;
б) изображение цикла Карно в pv-диаграмме.
|
|
|
Подставив в эти формулы значения соотношений объемов из уравнений адиабатных процессов получим выражение
(7.23)
Анализируя выражение (7.23) можно увидеть, что в идеальном цикле Карно значение термического КПД не может достигнуть единицы, так как температура
, а температура
К.
Ни один реальный цикл не может достичь термического КПД равного h цикла Карно. Цикл Карно служит эталоном, с которым сравнивают реальные циклы. Анализируя цикл Карно, можно также сделать вывод, что h цикла Карно не зависит от свойств рабочего тела, а только от температур горячего и холодного источников. Очевидно, что h повышается при увеличении температуры горячего источника T1 или при уменьшении температуры холодного источника T2. Эта закономерность справедлива для всех циклов тепловых двигателей.