Циклы поршневых двигателей внутреннего сгорания
Теплосиловые газовые циклы
Контрольные вопросы
1. Опишите последовательный расчет термодинамических процессов.
2. Изобразите процессы подвода и отвода тепла в изохорном процессе в pv- и Ts–диаграммах.
3. Изобразите процессы подвода и отвода тепла в изобарном процессе в pv- и Ts–диаграммах. Какая часть теплоты расходуется на производство работы?
4. Почему изотермический процесс наиболее совершенен? Изобразите процессы подвода и отвода тепла в изотермическом процессе в pv- и Ts–диаграммах.
5. Что такое адиабатный процесс? Запишите основное уравнение адиабатного процесса, запишите расчетные зависимости между p и T, между v и T для адиабатного процесса.
6. Что такое прямой и обратный термодинамический цикл?
7. Охарактеризуйте второй закон термодинамики.
8. Охарактеризуйте цикл Карно, как рассчитать его термодинамический КПД?
К двигателям внутреннего сгорания (ДВС) относят тепловые двигатели, в которых все рабочие процессы (сгорание топлива с выделением теплоты, преобразование теплоты в работу) протекают внутри рабочего пространства цилиндра двигателя. Рабочим телом ДВС являются продукты сгорания топлива. Поршневой двигатель внутреннего сгорания с подводом теплоты при постоянном объёме является в настоящее время самым распространённым тепловым двигателем. Необходимая для превращения в работу теплота получается в нём за счёт сжигания горючей смеси в цилиндре. Горючая смесь, представляющая собой смесь топлива с воздухом, называется рабочей смесью. Для полного сгорания топливо должно быть хорошо перемешано с необходимым количеством воздуха. Для этого воздух подаётся в избытке, но этот избыток должен быть минимальным. Чем мельче распылено топливо, и чем лучше оно перемешано с воздухом, тем полнее происходит его сгорание. Существуют два способа смесеобразования: внешнее и внутреннее.
|
|
|
Внешнее смесеобразование производится в специальных смесителях, которые называются карбюраторами. Готовая смесь подаётся в цилиндр. Зажигание смеси в цилиндре принудительное от электрической искры. Двигатели такого рода называются карбюраторными, они работают с низкой степенью сжатия смеси.

Рис. 8.1. Схема ДВС и рабочего процесса двигателя с подводом тепла
при постоянном объеме
На рис 8.1 показана схема механизма ДВС и схема рабочего процесса двигателя. В головке цилиндра размещены впускной и выпускной клапаны. Возвратно-поступательное движение поршня с помощью кривошипно-шатунного механизма преобразуется во вращательное движение коленвала. На схеме отмечены два крайних положения поршня, которые называются мёртвыми точками ВМТ и НМТ. Путь поршня от верхней до нижней мёртвой точки называется ходом поршня S. Перемещение из одного крайнего положения в другое называется тактом. Объём цилиндра, заключённый между ВМТ и НМТ называют рабочим объёмом цилиндра Vh.Объём цилиндра между головкой цилиндра и поршнем, который находится в ВМТ, называется объёмом камеры сгорания (или объёмом камеры сжатия) Vc. Сумма объёмов Vh и Vc представляет собой полный объём цилиндра Va.
|
|
|
(8.1)
Отношение объёмов в начале и в конце сжатия называется степенью сжатия.
. (8.2)
На рис 8.1 показаны процессы, протекающие в цилиндре двигателя в p-V диаграмме, на которой удобно видеть характер протекающих процессов. На ней по оси абсцисс откладывается объём, занимаемый рабочим телом в цилиндре, а по оси ординат - абсолютное давление рабочего тела в цилиндре. Такие диаграммы для поршневых машин называются индикаторными диаграммами.
При всасывании рабочей смеси в цилиндр её параметры (p, V, T) не изменяются, изменяется только количество рабочей смеси в цилиндре.
1-2 – процесс сжатия рабочей смеси. Так как перемещение поршня при сжатии происходит с большой скоростью, мы считаем процесс сжатия адиабатным, т. е. происходящим без теплообмена.
2-3 – процесс подвода тепла при V=const. Теплоту, выделяемую при сгорании топлива, мы рассматриваем как подведённую к газу извне. Процесс сгорания происходит, когда поршень находится в ВМТ.
3-4 – процесс расширения продуктов сгорания. Как и процесс сжатия, мы рассматриваем этот процесс как адиабатный.
4-1 – процесс отвода тепла. Этот процесс выхлопа продуктов сгорания в атмосферу под действием разности давлений в цилиндре и в атмосфере. Условно мы считаем процесс выхлопа изохорным, потому что в этом процессе работа расширения равна нулю.
В этом цикле механическая работа представленная площадью 1-2-3-4-1, совершается за 4 такта - за 4 хода поршня. Такие двигатели называются четырёхтактными. Существуют двигатели, в которых цикл завершается за два хода поршня (двухтактные).
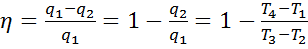
Для определения термического кпд необходимо рассчитать количества подведённой и отведённой теплоты q1 и q2.
Количество подведённой теплоты q1 = c u (T3 – T2) Дж/кг, отведённая теплота
дж/кг.
Тогда
(8.3)
Так как параметры рабочего тела, в том числе и температура в точке 1 известны, то следует выразить температуры во всех остальных точках через её значение в точке 1. Для этого необходимо знать кроме степени сжатия (
) степень повышения давления при сгорании (отношение давлений в конце и в начале сгорания)
(8.4)
Расчёт начинаем с адиабатного процесса 1-2. В нём

Отсюда

Изохорный процесс 2-3

Тогда 
В адиабатном процессе 3-4

Так как u 4= u 1, а u 3= u 2
Отсюда 
Подставляя значения T2, T3, T4 в выражение для кпд получим
(8.5)
Как видно из полученного выражения (8.5) термический кпд цикла с подводом тепла при V=const зависит от степени сжатия
. Увеличение степени сжатия приводит к росту кпд. Однако степень сжатия в обычных карбюраторных двигателях не превышает 7…12, потому что большее повышение
ведёт к такому росту давления и температуры, что происходит самовоспламенение рабочей смеси до прихода поршня к ВМТ.
Степень сжатия в цикле может быть повышена, если сжимать не горючую смесь, а чистый воздух, а затем, после сжатия вводить в цилиндр горючее. Именно на этом принципе основан цикл Дизеля.






