Однослойная стенка (труба)
Теплопроводность цилиндрической стенки
Рассмотрим однородную однослойную трубу (рис. 12.4) длиной l, с внутренним радиусом r1 и наружным радиусом r2. Коэффициент теплопроводности материала постоянен и равен l. На внутренней и внешней поверхности трубы поддерживаются постоянные температуры t1 и t2 соответственно. Причем t1 > t2. Температура изменяется только в радиальном направлении. Температурное поле в этом случае будет одномерным, а изотермические поверхности будут цилиндрическими, имеющими с трубой общую ось.
Рис. 12.4. Однослойная цилиндрическая стенка
|
Выделим внутри стенки трубы кольцевой слой радиусом r и толщиной dr, ограниченный двумя изотермическими поверхностями. Количество тепла, согласно закону Фурье проходящее в единицу времени через этот слой, можно определить как
. (12.21)
Разделяя переменные, получим
.
После интегрирования имеем
. (12.22)
Подставляя значения переменных на границах стенки: при r = r1, t = t1 и при r = r2, t = t2 получаем два уравнения и вычитая почленно из первого второе получим
|
|
|
. (12.23)
Отсюда
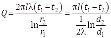
. (12.24)
Количество тепла, передаваемое через цилиндрическую стенку пропорционально длине трубы, коэффициенту теплопроводности и разности температур и обратно пропорционально натуральному логарифму отношения внешнего диаметра трубы d2 к внутреннему d1.
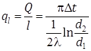
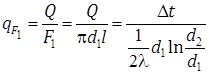
Количество тепла, проходящее через, стенку может быть отнесено к единице длины трубы, либо к единице площади внутренней или внешней поверхности трубы. В этом случае расчетные формулы примут вид:
. (12.25)
где q1 — количество тепла, передаваемое через единицу длины трубы, Вт/м.
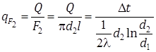
. (12.26)
где
— количество тепла, отнесенное к единице площади внутренней поверхности трубы, Вт/м2.
. (12.27)
где
— удельный тепловой поток (плотность теплового потока) проходящий через единицу площади наружной поверхности трубы; Вт/м2.
При этом связь между этими удельными потоками, отнесенными к разным величинам, будет определяться следующими соотношениями:
, (12.28)
. (12.29)
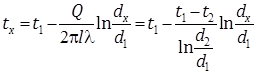
Из уравнения (12.22) можно получить уравнение температурной кривой, если подставить в него значения Q и C.
. (12.30)
При постоянном значении коэффициента теплопроводности (l = const) температура внутри стенки изменяется по логарифмическому закону.
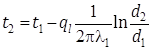
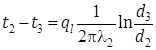
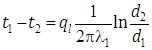
Рассмотрим трехслойную цилиндрическую стенку. Примем, что слои выполнены из разных, но однородных материалов и посажены один на другой с натягом, то есть контакт между соприкасающимися поверхностями можно считать практически идеальным. Принимаем также, что теплопроводность каждого слоя постоянна и коэффициенты теплопроводности слоев l1, l2 и l3 соответственно. Обозначим диаметры и теплопроводность каждого слоя (рис. 12.5). Известны также температуры внутренней поверхности первого слоя t1 и внешней поверхности третьего слоя t4, которые при установившемся (стационарном) тепловом режиме будут иметь неизменные значения. Обозначим температуры в местах контакта слоев t2 и t3.
|
|
|
Рис. 12.5. Трёхслойная цилиндрическая стенка
|
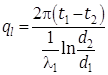
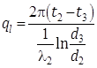
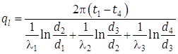
А так как при стационарном тепловом режиме через все слои проходит одно и то же количество тепла, то можно записать
,
,
.
Из этих уравнений определим локальные температурные перепады в каждом слое
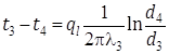
, (12.31)
, (12.32)
. (12.33)
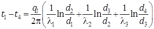
Суммируя левые и правые части уравнений, получаем зависимость для полного температурного напора:
. (12.34)
Из уравнения (12.34) можно определить величину удельного теплового потока
. (2.35)
Значения неизвестных температур t2 и t3 можно найти из выражений (12.31), (12.33)
, (12.36)
. (12.37)
Внутри каждого слоя температура изменяется по логарифмическому закону, но для многослойной стенки в целом температурная кривая — ломаная.
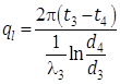
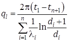
По аналогии с трехслойной стенкой запишем выражение для n-слойной стенки
. (12.38)
Рис. 12.4. Однослойная цилиндрическая стенка
Рис. 12.5. Трёхслойная цилиндрическая стенка






