Упрощение расчетных формул
Зависимости (12.24) и (12.25) для однослойной стенки удобно представить в виде
(12.39)
и
, (12.40)
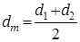
где dm — средний диаметр,
,
d — толщина стенки трубы,
.
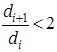
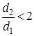
При соотношении
формулы (12.39), (12.40) дают погрешность менее 2 %, но при этом значительно упрощают проведение расчетов.
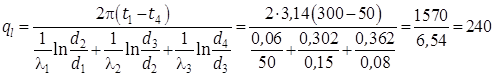
Задача 1. Паропровод диаметром dн = 0,17 м, dвн = 0,16 м покрыт двухслойной изоляцией. Толщина первого слоя изоляции d2 = 0,03 м, второго — d2 = 0,05 м. Теплопроводность трубы l1 = 50 Вт/(м·град); первого слоя изоляции — l2 = 0,15 Вт/(м·град); второго слоя изоляции — l = 0,08 Вт/(м·град). Температура внутренней поверхности трубы t1 = 300 °C, внешней поверхности изоляции — t4 = 50 °C. Определить теплопотери одного погонного метра трубопровода и температуры на поверхностях раздела.
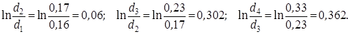
Задачу можно решить по традиционной и по упрощенной методикам. Для решения задачи традиционным способом определяем величины натуральных логарифмов

Теплопотери одного метра составят
Вт/м.
Температура на стыке труба – первый слой изоляции:
|
|
|
° C.
Температура на стыке первый – второй слои изоляции:
° C.
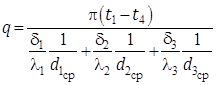
Задача 2. Ту же задачу решить по упрощенной методике.
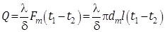
Так как для всех слоев
, можно применить формулу теплопроводности плоской стенки
,
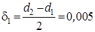
где
м;
м;
м;
м;
d2 = 0,03 м;
d2 = 0,05 м;
Вт/м2.
Температура на стыке труба - первый слой изоляции:
° C.
Температура на стыке первый-второй слои изоляции:
° C.
Как видно из результатов, погрешность при расчёте по упрощенной методике оказывается исчезающе малой.






