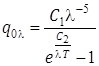
Каждое тело излучает энергию по всем длинам волн. Но это излучение волн разной длины происходит неравномерно. Энергия излучения зависит от длины излучаемой волны и температуры излучающего тела. Закон распределения энергии излучения по длинам волн при различных температурах был теоретически установлен Планком:
(15.6)
где q0l — плотность потока излучения, Вт/м2.
l — длина волны, м;
Т — абсолютная температура тела, К;
C1 и C2 — постоянные, равные C1 = 3,74·10-1 Вт·м2; C2 = 1,44·10-2 м·К;
е — основание натурального логарифма, е = 2,72.
Закон Планка представлен графически на рис. 15.3. Из рисунка видно, что при l = 0 энергия излучения также равна нулю. С увеличением l растет q0l и при некотором значении l достигает своего максимума, затем убывает и при l = ∞ снова становится равной нулю. Для каждой температуры можно построить кривую q = f(l, T). На рис. 15.3 они построены только для температур 600, 800, 1000, 1200, 1400 К. Из рисунка видно, что с ростом температуры максимум плотности излучения смещается влево, в сторону более коротких волн.
Эту связь между температурой и длиной волны, при которой наблюдается максимум излучения, установил Вин.
К. (15.7)
В теплотехнических расчётах более часто встречается уравнение, которое носит название закона Стефана-Больцмана. Экспериментально он был открыт Стефаном и позже обоснован теоретически Больцманом. Этот закон устанавливает зависимость излучательной способности абсолютно черного тела или плотности теплового потока от температуры тела.
, Вт/м2. (15.8)
Здесь C0 — коэффициент излучения абсолютно черного тела, C0 = 5,7 Вт/(м2·К4).
Для реальных (серых) тел закон принимает вид
, Вт/м2. (15.9)
где C — коэффициент излучения реального тела.
Для реальных тел коэффициент излучения различен, но его величина всегда меньше C0 и изменяется в пределах от 0 до 5,7.
Если сопоставить энергию излучения серого тела с энергией излучения абсолютно черного тела при одинаковой температуре, получаем характеристику, которая называется степенью черноты
. (15.10)
Значение e изменяется от 0 до 1. Для расчетов обычно пользуются следующим соотношением:
(15.11)

Рис. 15.3. Распределение энергии излучения по закону Планка
Отношение между излучательной и поглощательной способностями тела устанавливает закон Кирхгофа.
Рассмотрим две поверхности, одна из которых – абсолютно черная. Температуры поверхностей — T и T0, излучательные способности — q и q0, поглощательные способности — A и A0, причем A0 = 1, так как тело абсолютно черное.
Рис. 15.4. Иллюстрация закона Кирхгофа
|
Левая поверхность излучает в единицу времени с единицы площади энергию q, которая попадает на черную поверхность и полностью ею поглощается, т.к. A0 = 1. Черная поверхность излучает энергию в размере q0. Эта энергия частично поглощается (A·q0), частично отражается в количестве (1 – A)q0 и, снова попадая на черную поверхность, поглощается ею. Для левой поверхности баланс прихода и расхода лучистого обмена
qрез = q – A·q0.
В случае, если T = T0 и система находится в термодинамическом равновесии, qрез = 0. Тогда A·q0 = q.
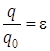
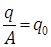
. (15.12)
Соотношение (15.12) можно распространить на любые тела и поэтому его можно записать в виде
(15.13)
При термодинамическом равновесии отношение излучательной способности к поглощательной для всех тел одинаково и равно излучательной способности абсолютно черного тела при той же температуре.
Уравнение (15.13) можно представить в виде A1 = e1; A2 = e2 и т.д так как

В такой записи закон Кирхгофа показывает, что при термодинамическом равновесии поглощательная способность тела и степень его черноты численно равны.
При любой температуре излучательная способность тел всегда меньше излучательной способности абсолютно черного тела при той же температуре.
Из закона Кирхгофа следует также, что излучательная способность тел тем больше, чем больше их поглощательная способность. Тела, хорошо отражающие лучистую энергию, сами излучают мало. Излучательная способность абсолютно белого тела равна нулю.
Рис. 15.4. Иллюстрация закона Кирхгофа