Обычно в теплотехнических расчётах требуется рассчитать лучистый теплообмен между телами, температура которых известна, а также известны размеры и степень черноты их поверхностей. Энергия излучения каждого тела может быть рассчитана на основании закона Стефана-Больцмана
. (15.14)
Здесь T1 и T2 — абсолютные значения температур первого и второго тела при условии, что T1 > T2;
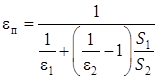
eп — приведенная степень черноты системы из двух тел, обменивающихся лучистыми потоками.
, (15.15)
где S1, S2 — площади наружных поверхностей, соответственно.
В случае, когда площадь поверхности первого тела исчезающее мала по сравнению с площадью второго, т.е. S1 << S2, то приведенная степень черноты такой системы будет равна степени черноты первого тела eп = e1.
Наличие экранов между телами снижает интенсивность лучистого теплообмена. Причем, наличие одного экрана уменьшает количество передаваемого тепла в два раза, наличие двух экранов уменьшает количество передаваемого тепла в 3 раза, а наличие n экранов — в (n+1) раз.






