Как и твердые тела, газы также обладают способностью испускать и поглощать лучистую энергию. Однако для разных газов эти способности различны. Одно и двухатомные газы практически прозрачны (диатермичны), это относится к кислороду O2, азоту N2, и водороду H2. Поэтому для технических расчётов интерес представляют лишь многоатомные газы, такие как водяной пар H2O
сернистый ангидрид SO2, аммиак NH3, углекислый газ CO2, которые обладают значительной поглощательной и излучательной способностью. Но процессы теплового излучения и поглощения газов резко отличаются от излучения твердых тел. Твердые тела излучают (и поглощают) лучистую энергию всех длин волн от l = 0 до l = ∞. Газы излучают и поглощают энергию в определенных интервалах длин волн. То есть излучение и поглощение газов имеет избирательный (селективный) характер.
Кроме того процессы испускания и поглощения лучистой энергии у твердых тел происходят на поверхности, а у газов эти процессы протекают всегда в объеме.
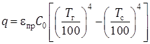
При прохождении фотонов через объем газов некоторая часть их поглощается молекулами газа. Энергия фотонов передается молекулам, газ нагревается. Так происходит процесс поглощения лучистой энергии в объеме газа. Одновременно идет другой процесс – процесс рождения фотонов, излучаемых в пространство тем интенсивней, чем выше температура газов. Лучистый тепловой поток в системе "газ-стенка" можно определить из выражения
. (15.16)
где Tг и Tс — абсолютные температуры газов и стенки, К;
eпр — приведенная степень черноты системы
, (15.17)
где eг и eс — значения степени черноты газов и стенки.






