Теплопередача через стенки
Процессы теплопередачи
Контрольные вопросы
1. Что такое лучистый теплообмен? Какова его природа?
2. Чем отличается абсолютно чёрное тело от абсолютно белого и абсолютно прозрачного?
3. Что такое эффективное, и что такое результирующее излучение?
4. Сформулируйте закон Стефана-Больцмана. Запишите зависимость для расчёта плотности теплового потока.
5. Сформулируйте закон Вина.
6. Что такое степень черноты?
7. Запишите закон Кирхгофа.
8. Что такое приведенная степень черноты системы из двух тел?
9. Чем отличаются процессы теплового излучения газов от излучения твёрдых тел?
10. Как рассчитать лучистый тепловой поток в системе «газ - стенка»?
Вообще, процессом теплопередачи называется процесс передачи тепла от одного теплоносителя (среды, жидкости) к другому - через разделяющую их твердую, герметичную стенку. Стенка должна быть обязательно герметичной, потому что у теплоносителей может быть разное давление, да и сами теплоносители не должны смешиваться. При этом процесс теплопередачи делится на три элементарных процесса. Сначала тепловой поток от горячего теплоносителя за счет теплоотдачи приходит и усваивается той твердой теплообменной поверхностью, которую он омывает, затем этот тепловой поток проходит сквозь стенку от ее границы, омываемой горячим потоком, к границе, омываемой холодным теплоносителем. И если первый процесс — теплоотдача — зависит от формы поверхности, от условий омывания её теплоносителем, от теплофизических свойств теплоносителя и др., то второй элементарный процесс – теплопроводность - зависит только от теплопроводности материала стенки и от толщины этой стенки. Ну, и, конечно, оба процесса зависят от разности температур. Но в первом случае — это разность температур между жидкостью и стенкой, а во втором — разность между температурами поверхностей стенки. А когда тепловой поток прошёл сквозь стенку и пришел к поверхности, омываемой холодным теплоносителем, опять начинается процесс теплоотдачи — теплового взаимодействия твердой стенки и теплоносителя. Но здесь, в отличие от первого процесса, тепловой поток идет не от жидкости к стенке, а от стенки к жидкости.
|
|
|
Общий тепловой поток при теплопередаче можно рассчитать как
, Вт, (16.1)
где K — коэффициент теплопередачи, Вт/(м2·К);
F — площадь теплообменной поверхности, м2;
tж1, tж2 — средние температуры теплоносителей, °C.
Количественной характеристикой процесса теплопередачи является коэффициент теплопередачи K, который определяет количество тепла, передаваемого от одной среды к другой в единицу времени, через один квадратный метр теплообменной поверхности при разности температур между средами в один градус. Рассмотрим плоскую однородную стенку толщиной d выполненную из материала, теплопроводность которого l (рис. 16.1)
|
|
|
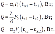
По одну сторону стенки находится горячий теплоноситель, средняя температура которого tж1 по другую сторону стенки — холодный теплоноситель, средняя температура которого tж2. Обозначим неизвестные температуры поверхностей стенки, омываемых горячим и холодным теплоносителем, tс1 и tс2, соответственно коэффициенты теплоотдачи от горячей и холодной стенок к теплоносителям установлены и равны aж1 и aж2. При стационарном тепловом потоке количество тепла, полученного стенкой от горячего теплоносителя, равно количеству тепла, прошедшего сквозь стенку, и равно количеству тепла, воспринятого холодным теплоносителем от стенки. Следовательно, тепловой поток можно рассчитать
Рис. 16.1. Теплопередача через однослойную плоскую стенку |

Здесь F1, F2, F3 — площади теплообменных поверхностей участвующих в теплообмене. Для плоской стенки площади эти равны F1 = = F2 = F3 = F, м2.
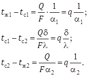
Из приведенных уравнений теплового потока можно определить разности температур (частные температурные напоры) для каждого элементарного процесса

Здесь
— удельный тепловой поток, отнесенный к площади теплообменной поверхности. Величина q является важной характеристикой теплообменного оборудования и следует запомнить наиболее употребительные названия q: плотность теплового потока, удельная тепловая нагрузка, тепловая нагрузка одного квадратного метра.
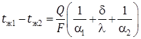
Если мы сложим раздельно левые и правые части вышеприведенных уравнений, то значения промежуточных температур сократятся, и мы получим значение полного температурного напора — разности температур между средами, обменивающимися теплом.
(16.2)
Здесь величина
представляет собой полное термическое сопротивление теплопередачи, состоящее из суммы частных термических сопротивлений:
и
— термические сопротивления теплоотдачи со стороны горячего и холодного теплоносителя соответственно;
— термическое сопротивление теплопроводности.
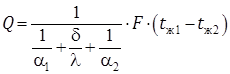
Из уравнения (16.2) легко получить величину теплового потока
, (16.3)
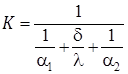
и, если сравнить полученное выражение с уравнением (16.1), то легко увидеть, что величина обратная полному термическому сопротивлению теплопередачи является коэффициентом теплопередачи.
. (16.4)
Таким образом, величина коэффициента теплопередачи даже для однослойной плоской стенки является сложной функцией, для расчета которой необходимо сначала рассчитать теплоотдачу с обеих сторон, а также знать толщину стенки d и ее теплопроводность l.
Рис. 16.1. Теплопередача через однослойную плоскую стенку