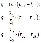
Рассмотрим плоскую стенку, состоящую из двух слоёв с толщинами слоёв d1, d2 и коэффициентами этих слоёв l1, l2.
С одной стороны стенку омывает горячая среда с температурой tж1, с другой стороны — холодная, с температурой tж2. Коэффициенты теплоотдачи при этом установлены и равны a1 и a2.

Рис. 16.2. Теплопередача через многослойную плоскую стенку
При стационарном тепловом потоке через каждый слой проходит одно и то же количество тепла, и можно записать
(a)
Из этих уравнений определяем частные температурные напоры
(б)
Сложив раздельно левые и правые части уравнений, в левой части получим полный температурный напор, а в правой — полное термическое сопротивление теплопередачи, умноженное на значение плотности теплового потока:
(16.5)
В этом случае коэффициент теплопередачи будет иметь вид:
(16.6)
Если стенка состоит из n слоёв, то удельный тепловой поток, проходящий через такую стенку:
. (16.7)
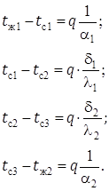
Распределение температур при теплопередаче через плоскую многослойную стенку представлено на рис.16.2. Неизвестные температуры tc1, tc2 и tc3 могут быть определены из уравнений частных температурных напоров:
(в)






