Задача 1. Определить потери тепла лучеиспусканием с поверхности стальной трубы диаметром d = 0,070 м и длиной l = 3 м. Труба находится в большом помещении, температура трубы t1 = 227° C, температура стенок помещения t2 = 20° C. Так как площадь поверхности трубы незначительна по сравнению с площадью поверхности стенок помещения S1 << S2, то приведенная степень черноты системы будет равна степени черноты трубы. eп = e1 = 0,80. Тогда общие потери тепла трубой составят

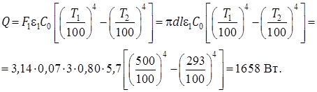
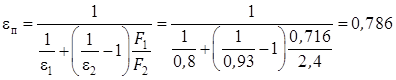
Задача 2. Определить потери тепла излучением с поверхности трубы диаметром d = 0,076 м и длиной l = 3 м, если труба находится в кирпичном канале сечением 0,2×0,2 м, температура трубы t1 = 227° C, температура стенок канала t2 = 27° C. Так как площади поверхностей, обменивающихся лучистыми потоками, соизмерима, то определяем приведенную степень черноты системы по уравнению (5.13), определив перед этим e1 = 0,8 и e2 = 0,93, а также F1 = pdl = 3,14·0,076·3 = 0,716 м2 и F2 = 4·0,2·3 = 2,4 м2.
.
Тепловой поток, отдаваемый излучением
Вт.
Задача 3. Определить количество теплоты при лучеиспускании от газов на 1 м2 поверхности газохода ДВС. Средняя температура газов Tг = 800 К, средняя температура поверхности газохода Tст = 800 К, степень черноты газов eг = 0,22, степень черноты поверхности газохода eст = 0,88. Находим приведенную степень черноты системы стенка-газ:
|
|
|
.
Количество тепла от газов к 1 м2 поверхности газохода
Вт/м2.