Упрощение расчетных формул

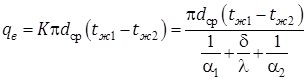
Так как формулы теплопередачи для труб довольно громоздки, при этом иногда вызывает затруднения определения величин натуральных логарифмов, то при проведении практических расчётов применяют некоторые упрощения. Вместо формул для определения линейного теплового потока для однослойной трубы (6.10) применяется формула для плоской поверхности, которая в применении к трубе длиной 1 м примет вид

. (16.21)

Здесь K — коэффициент теплопередачи плоской стенки;

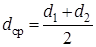
dср — средний диаметр стенки, ;

d — толщина стенки трубы .

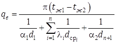
Для многослойной стенки формула приобретет вид

. (16.22)

где — средний диаметр i-того слоя;

li —теплопроводность i-того слоя.

Погрешность при проведении расчетов не превышает 3-4 %, если . К тому же, погрешность можно существенно снизить, если при выборе dср соблюдать следующие правила:

1. В случае a1 >> a2 следует принять dср = d2.

2. При a1 ≈a2, то .

3. В случае, если a1 << a2, то dср = d1

То есть, при расчете теплопередачи по формуле (16.21) вместо dср принимается тот диаметр, со стороны которого теплоотдача минимальна.

При проведении расчетов для их упрощения следует пренебрегать относительно малыми термическими сопротивлениями.





Подборка статей по вашей теме: