Однослойная цилиндрическая стенка (труба)
Рассмотрим однородную однослойную цилиндрическую стенку (трубу) длиной l. При этом внутренний диаметр трубы — d1, внешний диаметр — d2, теплопроводность материала трубы — l. Внутри трубы течет горячий теплоноситель, средняя температура которого tж1, при этом коэффициент теплоотдачи от теплоносителя к трубе известен и равен a1. Снаружи трубу омывает холодный теплоноситель, средняя температура которого tж2, а коэффициент теплоотдачи — a2. Температуры внутренней и внешней поверхностей трубы неизвестны, обозначим их tс1 и tс2 (рис. 16.3).
При стационарном тепловом потоке количество тепла отданного горячим теплоносителем будет равно количеству тепла полученного холодным теплоносителем.
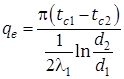
Количество тепла, отданное от горячего теплоносителя внутренней поверхности трубы
, Вт.
Это же количество тепла прошло сквозь трубу:
, Вт.

Рис. 16.3. Теплопередача через однослойную цилиндрическую стенку
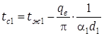
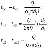
Из этих уравнений определяем частные температурные напоры:
|
|
|
(г)
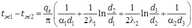
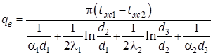
Складывая левые части системы уравнений, получаем полный температурный напор, а в правой части получаем произведение теплового потока на полное термическое сопротивление теплопередачи
.
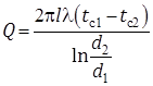
Таким образом, величина теплового потока
, (16.8)
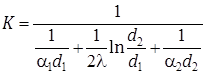
где
. (16.9)
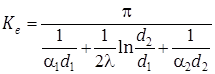
Однако при расчётах полученное уравнение никогда не используют. Коэффициент теплопередачи относят либо к одному метру длины трубы, либо к внутренней, либо к внешней поверхности. И тогда расчётные формулы приобретают вид:
. (16.10)
Здесь Ke — коэффициент теплопередачи 1 п.м. трубы.
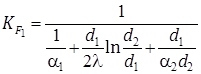
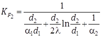
. (16.11)
. (16.12)
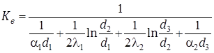
Здесь
— коэффициент теплопередачи, отнесенный к наружной поверхности трубы.
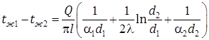
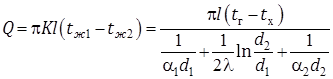
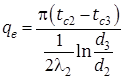
Тепловой поток, переданный от горячего к холодному теплоносителю
, (16.913)
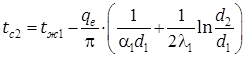
Рассмотрим передачу тепла через двухслойную цилиндрическую стенку (рис. 16.4) при установившемся тепловом потоке. Температуры горячей и холодной сред tж1 и tж2, соответственно.
Известны диаметры обоих слоев d1, d2 и d3. Коэффициенты теплопроводности слоев постоянны и равны l1 и l2, коэффициенты теплоотдачи со стороны горячей и холодной сред a1 и a2. Неизвестны температуры поверхностей, контактирующих с горячей и холодной средами tс1 и tс3, а также температура соприкосновения цилиндрических слоев tс2.
Так как тепловой поток стационарный, то от горячего теплоносителя к поверхности к единице длины трубы пойдет тепловой поток
.

Рис. 16.4. Теплопередача через многослойную цилиндрическую стенку
Этот же тепловой поток пройдет через внутреннюю трубу

и через наружную трубу
,
и, наконец, от наружной поверхности внешней трубы будет воспринят холодным теплоносителем
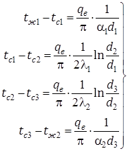
|
|
|
.
Из этих уравнений определяем частные температурные напоры:
(16.14)
Складывая отдельно левые и правые части уравнений системы, получим значение полного температурного напора
.
Отсюда значение линейного теплового потока
; (16.15)
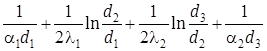
. (16.16)
Здесь
— полное линейное термическое сопротивление теплопередачи двухслойной цилиндрической поверхности;
— линейный коэффициент теплопередачи.
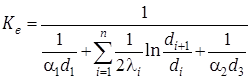
Для многослойной стенки значение линейного коэффициента теплопередачи будет иметь вид
. (16.17)
Значение неизвестных температур стенок tс1, tс2 и tс3 можно найти из уравнений частных температурных напоров
; (16.18)
; (16.19)
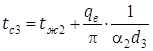
; (16.20)