Ребристые поверхности применяют при необходимости выровнять термические сопротивления. Например, с одной стороны теплоноситель имеет высокий коэффициент теплоотдачи, с другой стороны — теплоноситель с теплоотдачей значительно более низкой. Соответственно, со стороны теплоносителя с низкой теплоотдачей существует большое термическое сопротивление, которое необходимо снизить. Один из методов снижения термического сопротивления — увеличение площади поверхности теплообмена со стороны теплоносителя с малой теплоотдачей. Применение развитой ребристой поверхности теплообмена интенсифицирует процесс теплоотдачи с этой стороны, что приводит к росту коэффициента теплопередачи и к общей интенсификации процесса теплообмена.
Рис. 16.6. Теплопередача через ребристую стенку
|
Рассмотрим плоскую стенку (рис. 6.6) толщиной d, материал который имеет коэффициент теплопроводности l. Со стороны теплоносителя с низкой теплоотдачей стенка имеет ребра, выполненные из этого же материала. Гладкую поверхность площадью F1 омывает горячий теплоноситель (средняя температура которого tг) с высокой теплоотдачей aг. Температура этой поверхности t1. Температура холодной жидкости, омывающей ребристую поверхность tх, площадь ребристой поверхности — F2, среднее значение температуры ребристой поверхности t1
Коэффициент теплоотдачи на границе "холодная жидкость – ребристая стенка" низок и равен aх. Установившейся стационарный тепловой поток может быть описан тремя уравнениями:
|
|
|
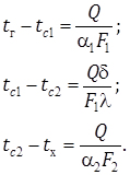
; (16.23)
; (16.24)
. (16.25)
Приведенные уравнения описывают количество тепла переданного:
§ от горячего теплоносителя к гладкой поверхности стенки;
§ прошедшего сквозь стенку от гладкой её поверхности к ребристой;
§ то же количество тепла, переданное от наружной поверхности ребер холодному теплоносителю.
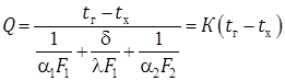
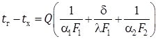
Уравнения (16.23) – (16.25) дают нам возможность определить частные температурные напоры

Складывая левые части уравнений, получим полный температурный напор
.
Отсюда
; (16.26)
. (16.27)
Однако формулы (6.21) и (6.22) при проведении расчётов практически не используют, так как обычно в расчетах необходимо определить площадь либо гладкой, либо оребренной поверхности. И тогда коэффициент теплопередачи относит либо к гладкой, либо к оребренной поверхности.
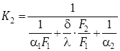
. (16.28)
Здесь K1 и K2 — коэффициенты теплопередачи, отнесенные к гладкой и ребристой поверхности соответственно.
; (16.29)
, (16.30)
где K1 — коэффициент теплопередачи при расчетах необходимой площади гладкой поверхности;
K2 — коэффициент теплопередачи, отнесенный к единице оребренной поверхности;
|
|
|
— отношение площади оребренной поверхности к площади гладкой поверхности, называется коэффициентом оребрения.
Если геометрические параметры ребристой поверхности заданы, и значения коэффициентов теплоотдачи a1 и a2 известны, то расчет теплопередачи через такую стенку трудностей не представляет.
Рис. 16.6. Теплопередача через ребристую стенку






