Задача 1. В процессе эксплуатации трубки парового газотрубного котла покрылись слоем сажи dс = 1 мм и накипи dн = 2 мм. Температура греющих газов tг = 1000° C, температура кипящей воды tх = 200° C.
Коэффициенты теплоотдачи со стороны газов aг = 150 Вт/(м2·К), со стороны кипящей воды aх = 7000 Вт/(м2·К). Определить уменьшение плотности теплового потока в результате загрязнений, если трубки котла, сажа и накипь имеют следующие параметры: d1 = 32 мм, d2 = 40 мм, lст = 50 Вт/(м2·К), dс = 1 мм, lс = 0,08 Вт/(м2·К), dн = 2 мм, lн = 0,8 Вт/(м2·К).

Рис. 16.5 Трубка газотрубного котла: слева чистая труба, справа — труба
с загрязнениями
Плотность теплового потока через чистые трубы
.
Температура греющих газов зависит только от количества и качества сжигаемого топлива, температура кипения воды зависит только от давления. Обе эти температуры не зависят от количества и качества загрязнений. Поэтому плотность линейного теплового потока через загрязненную поверхность
.
То есть, для уменьшения плотности теплового потока необходимо рассчитать значения линейных коэффициентов теплопередачи для чистой и загрязненной труб.
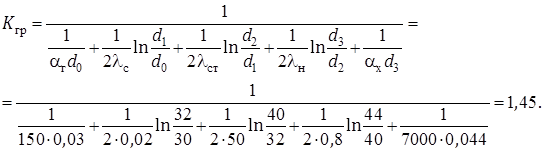
.

Здесь
d0 = d1 – 2dс = 0,032 – 2·0,001 = 0,030 м;
d3 = d2 – 2dн = 0,040 + 2·0,002 = 0,044 м,
где d0 — внутренний диаметр трубы со слоем сажи. Это та поверхность, с которой будут контактировать греющие газы.
d3 — наружный диаметр слой накипи, с которым будет контактировать кипящая вода.
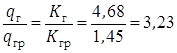
Мы видим, что даже такие незначительные толщины загрязнений приводят к уменьшению плотности теплового потока более чем в три раза.
.
Задача 2. Определить площадь поверхности нагрева водо-водяного подогревателя, выполненного из латунных труб
теплопроводность которых lл = 120 Вт/(м2·К). Коэффициент теплоотдачи со стороны горячей воды aг = 5000 Вт/(м2·К), со стороны холодной воды aх = 3000 Вт/(м2·К), средние температуры — горячей воды tг = 95° C, холодной воды — tх = 50° C, тепловая мощность нагревателя Q = 300 Вт.
Тепловая мощность нагревателя

Здесь KFх — коэффициент теплопередачи, отнесенный к наружному диаметру труб;
Fх — площадь наружной поверхности труб, м2.
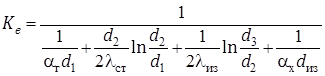
Коэффициент теплопередачи, отнесенный к наружной поверхности (6.8), омываемой холодной водой,
Вт/(м2·К).
Необходимая площадь теплообменной поверхности
м2.
Необходимая длина труб, составляющих поверхность теплообмена, Fх = pd2l. Отсюда
м.
Задача 3. Паропровод наружным и внутренним диаметрами
покрыт слоем изоляции dиз = 120 мм, теплопроводность которой lиз = 0,1 Вт/(м2·К). Температура пара tг = 30° C, температура наружного воздуха tх = 25° C. Теплопроводность стали l = 40 Вт/(м2·К), коэффициенты теплоотдачи: со стороны пара aг = 100 Вт/(м2·К), со стороны воздуха aх = 8 Вт/(м2·К). Определить линейную плотность теплового потока и температуру на поверхности изоляции.
.
.
где dиз = d2 + dиз = 0,216 +0,120·2 = 0,456 м.
.
Так как первые два термических сопротивления исчезающе малы по сравнению с остальным, в расчетах ими пренебрегаем.
Вт/(м2·К).
Тогда
Вт/м.
Температура поверхности изоляции
° C.






