Целью технологического проектирования является разработка объектов (ТП, операций, управляющих программ для станков с ЧПУ), оптимальных для заданных условий их применения.
Характеристики оптимального объекта обеспечивают при заданных ограничениях их значений достижение экстремума заданной целевой функции.
Для решения оптимизационной задачи необходимо:
• построить модель объекта проектирования;
• задать ограничения для значений характеристик объекта;
• определить целевую функцию;
• определить значения характеристик объекта, обеспечивающие
достижение экстремума целевой функции.
Отбор более предпочтительных вариантов объектов проектирования выполняют, оценивая и сравнивая их по какому-либо признаку (характеристике). Признак, на основании которого проводят такую оценку и сравнение называют критерием. Критерием называют и способ сравнения различных стратегий достижения поставленной цели проектирования.
Значение, принимаемое критерием для данного объекта, называют оценкой. Оценка может быть количественной, выражаемой размерной или безразмерной величиной, или качественной («хуже», «лучше», «хорошо», «плохо» и т.д.).
При сравнении технологических операций и процессов применяют следующие абсолютные и относительные критерии.
1.Основное (to), штучное (tmT) и штучно-калькуляционное вре
мя (t шт.к) применяют при первичном, приближенном оценивании
вариантов технологических операций. Более предпочтительному
варианту соответствует меньшее значение каждой из приведенных
величин. Этот критерий не может быть применен для окончательного выбора варианта, но позволяет выделить более производительный вариант операции.
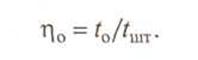
2.Коэффициент основного времени (η0)

Критерий используют для сравнения операций. Чем больше (ближе к единице) значение η0, тем эффективнее использовано оборудование.
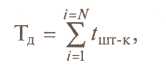
3. Трудоемкость изготовления детали или сборочной единицы (Тд)

где t шт.к — штучно-калькуляционное время для i операции ТП; N — число операций в ТП изготовления детали или сборочной единицы.
Более предпочтительному варианту ТП соответствует меньшее значение Тд.
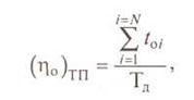
4. Коэффициент основного времени для ТП в целом (η0)тп
|
где toi — основное время для i операции.
Чем ближе значение (η0)тп к единице, тем более предпочтителен вариант ТП.
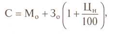
5. Себестоимость изготовления детали (С)

где Мо — стоимость основных материалов или исходной заготовки] за вычетом стоимости реализуемых отходов; Зо — заработная плата основных производственных рабочих; Цо — цеховые расходы (амортизация и ремонт оборудования; затраты на электроэнергию, инструмент; заработная плата вспомогательных рабочих и т.д.). Варианту более предпочтительному соответствует меньшее значение себестоимости. Точную оценку себестоимости при автоматизированном проектировании получить трудно, поэтому ее часто оценивают приближенно:

где Цн — цеховые (накладные) расходы в процентах от заработной платы основных рабочих.
6. Суммарные (приведенные) затраты (П)

где Е — коэффициент сравнительной экономической эффективности; К — капиталовложения (дополнительные) при реализации ТП. Чем меньше затраты, тем более предпочтителен вариант ТП.
Кроме приведенных используют и другие критерии [2], в том числе и связанные с рассмотренными, например, производительность (технологическая и цикловая), оперативное время, коэффициент загрузки оборудования, экономическая точность, стойкость лимитирующего инструмента, расход инструмента и т.д.
Частные (локальные) критерии позволяют оценить объект проектирования по конкретному признаку, но не дают возможности оценить объект в целом. Так, например, на основании критерия «трудоемкость» однозначно выбрать ТП нельзя, так как в ТП с меньшей трудоемкостью изготовления изделия может быть использовано более дорогостоящее оборудование. Это может вызвать резкий рост суммарных затрат на его реализацию.
Каждый из приведенных критериев характеризует объект проектирования лишь с определенной стороны. Полученная оценка, как правило, недостаточна для окончательного выбора варианта ТП или технологической операции.
Выбор наиболее эффективного варианта ТП обычно требует решения задачи многокритериальной оптимизации и применения обобщенных (комплексных) критериев.
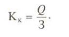
Любое проектное технологическое решение принимают с целью достижения полезного эффекта при его реализации. Полезный эффект от реализации спроектированного ТП могут характеризовать, например, его производительность, надежность обеспечения доминирующих показателей качества, прибыль и т.д. Желательно, чтобы полезный эффект (Q) от реализации ТП был максимальным.
С другой стороны, разработка и реализация ТП связана с соответствующими затратами (3), которые желательно минимизировать. При этом 3 ≠ 0 (реализация ТП без затрат невозможна). Возникает неопределенность цели проектного решения:
|
Преодоления этой неопределенности достигают введением комплексного критерия (Кк):

Более предпочтительному варианту ТП соответствует большее значение Кк. Достоинством этого критерия является то, что в нем учтены разные стороны проектного решения.