8.4.
8.3.
8.2
8.1.
Рис. 7.4 Графическое представление точки безубыточности
7.1.
6.3.
Для сравнения проектов с разными сроками жизненного цикла на практике наиболее часто используются следующие виды анализа, позволяющие устранить временную несопоставимость:
1. Метод цепного повторения проектов, сроки действия которых кратны друг другу;
2. Метод цепного повторения, сроки действия которых не кратны друг другу.
Содержание метода цепного повторения проектов, сроки действия которых кратны друг другу рассмотрим на примере 5.5.
Пример 6.5. С помощью показателя NPV сопоставить проекты с разной продолжительностью жизненного цикла, устранив временную несопоставимость проектов методом цепного повторения.
| Показатели | Проект А | Проект Б |
| 1. Объём инвестиций, у.е. | 15 000 | |
| 2. Суммарный денежный поток, у.е. | 20 000 | 25 000 |
| в т.ч. по годам: | ||
| 1 –й год | ||
| 2-й год | ||
| 3-й год | ||
| 4-й год | ||
| 3. Срок реализации п, лет | ||
| 4. Ставка r, % |
Решение
Приведём проекты к|до| равным|равным| условиям, допустив, что проект А может быть реализован последовательно несколько раз:
| NPVa | |||||||||||
| 1 реализация проекта | -15 000 | 20 000 | |||||||||
| 2 реализация проекта | -15 000 | 20 000 | |||||||||
| 3 реализация проекта | -15 000 | ||||||||||
| 4 реализация проекта | -15 000 | ||||||||||
| Всего денежный поток по проекту 1-а: | -15000 | 5 000 | 5 000 | ||||||||
| Множитель настоящей стоимости | 0,8696 | 0,7561 | 0,6575 | 0,5718 | |||||||
| Дисконтированный денежный поток | -15000,00 | 4348,00 | 3780,50 | 3287,50 | 11436,00 | 7852,00 | |||||
Находим NPVБ
| NPVБ | ||||||
| Дисконтированный денежный поток | -11000 | 1739,1 | 3024,6 | 5917,6 | 5717,5 | 5398,8 |
Т.о., NPV1-а >NPV2 , т.е. более эффективным является проект 1
Таблица 1
Характеристика преимуществ и недостатков, сфер применения финансовых критериев принятия проектных решений
| Описание метода | Преимущества | Недостатки | Сфера применения |
| Индекс рентабельности (норма прибыли,коэффициент эффективности инвестиций) | Простота расчетов. Позволяет оценить прибыльность проекта | Не учитываются временной аспект стоимости денег, доходы от ликвидации старых активов, возможность реинвестирования полученных доходов. Метод не позволяет выбрать проект из имеющих одинаковую норму прибыли, но разные инвестиционные затраты | Используется при заключении о целесообразности дальнейшего анализа или отказа от проекта на самой ранней стадии |
| Простой период окупаемости | Простота расчетов. Позволяет оценить ликвидность проекта и его рискованность | Выбор срока окупаемости субъективен. Не учитывается стоимость денег во времени. Игнорируется доходность проектов за пределами срока окупаемости. Поэтому проекты с одинаковым сроком окупаемости, но разными сроками реализации могут приносить различный доход, что затрудняет их сравнение | Используется для выбора проектов в условиях высокой инфляции и нестабильности при дефиците ликвидных оборотных средств |
| Чистый дисконтированный доход | Учитывает стоимость денег во времени. Метод ориентирован на увеличение доходов инвесторов | NPV является абсолютным показателем, и поэтому трудно объективно оценить выбор между несколькими проектами с одинаковым NPV и различными инвестиционными затратами или проектом с большим сроком окупаемости и NPV и проектом с меньшим сроком окупаемости и NPV. Выбор ставки дисконтирования субъективен | При выборе проектов из нескольких независимых вариантов расчет NPV используется при определении внутренней нормы доходности. При выборе из взаимоисключающих проектов выбираются проекты с наибольшим NPV |
| Индекс доходности | Является относительным показателем и позволяет судить о резерве безопасности проекта | Выбор ставки дисконтирования субъективен | Применяется при сравнении независимых проектов с различными инвестиционными затратами и сроками реализации при формировании оптимального инвестиционного портфеля предприятия |
| Внутренняя норма доходности | Метод прост для понимания. Нацелен на увеличение доходов инвесторов | Предполагает сложные вычисления. При неординарных потоках возможны несколько вариантов значений IRR. Выбор проекта по данному критерию затруднен, так как проекты с низкой IRR могут в дальнейшем приносить значительный чистый дисконтированный доход | Используется при формировании инвестиционного портфеля предприятия |
| Дисконтированный период окупаемости | Учитывает стоимость денег во времени и возможность реинвестирования получаемых доходов | Выбор дисконтированного срока окупаемости страдает субъективностью. Этот показатель игнорирует доходность проектов за пределами срока окупаемости. Поэтому проекты с одинаковым дисконтированным сроком окупаемости, но разными сроками реализации могут приносить различный доход, что затрудняет их сравнение | Используется для выбора проектов в условиях высокой инфляции и нестабильности при дефиците ликвидных оборотных средств |
Метод цепного повторения, сроки действия которых не кратны друг другу предполагает осуществление следующих этапов:
1) Определение наименьшего общего кратного продолжительности действия проектов (N).
2) Рассчитывают, что каждый из сравниваемых проектов на протяжении периода повторится необходимое количество раз.
3) Рассчитывают NPV приведенных суммарных проектов, используя коэффициенты дисконтирования для учета временного аспекта стоимости денег|стоимостей|.
4) Сравнивают повторяемые проекты по показателю NPV и определяют проект с наибольшим значением суммарного NPV, который находят по формуле:

где n- срок действия проекта; t – количество повторений начального проекта; r – ставка дисконтирования, N - наименьшее общее кратное.
Пример 6.6. Необходимо сравнить проекты с разной продолжительностью реализации по показателю NPV.
| Показатели | Проект А | Проект Б |
| 1. Объём инвестиций, у.е. | 11 000 | |
| 2. Суммарный денежный поток, у.е. | 15 000 | 15 000 |
| в т.ч. по годам: | ||
| 1 -й год | ||
| 2-й год | ||
| 3-й год | ||
| 3. Срок реализации п, лет | ||
| 4. Ставка r, % |
1. Определяем NPV: NPVА = 1366 у.е., NPVБ = 1170 у.е.
2. Определим суммарное значение NPV в случае их повтора в пределах общего срока действия. Наименьшее общее кратное этих проектов равно 6. За этот период (6 лет) проект А может быть воспроизведен трижды, а проект Б - дважды.
Тогда для проекта А суммарный NPV |в случае трехкратного повторения (t = 3 повторения, п = 2, N = 6):
(у.е.)
для проекта Б суммарный NPV |в случае двухкратного повторения (t = 2 повторения, п = 3, N = 6):
(у.е.)
Т.е., NPVА > NPVБ
Тема 7: Динамический анализ безубыточности проекта
7.1. Анализ безубыточности проекта: понятие и назначение
7.2. Издержки проекта в рамках анализа безубыточности, их классификация
7.3. Расчёт безубыточности проекта
7.4. Использование операционного левериджа для принятия проектных решений
7.5. Особенности принятия решений в условиях динамических изменений (самост!!)

Анализ безубыточности или анализ издержек, прибыли и объема производства, как его иногда называют — это аналитический подход к изучению взаимосвязи между издержками и доходам при различных уровнях производства.
Рис. 7.1. Допущения анализа безубыточности
7.2.
В рамках анализа безубыточности издержки проекта подразделяют на два вида: переменные VC (см. пример 7.1.) и постоянные FC (см. пример 7.2.) (рис. 7.2.)
Переменные издержки(Variable Costs-VC) – этоиздержки, которые меняются (прямо пропорционально увеличению или уменьшению объема производства (издержки на единицу продукции остаются постоянными).
• затраты сырья и материалов, энергию, коммунальные услуги,
• комиссионные с продаж (если они определяются объемом продаж),
• зарплата производственным рабочим
Пример 7.1. Пусть предприятие планирует проект производства печей СВЧ, в каждой из которых присутствует временное устройство. Стоимость одной единицы этого устройства составляет $30. Как изменятся общие переменные издержки на производство продукции, если предприятие планирует увеличение объёма выпуска?
| Затраты на единицу устройства | Количество произведенных печей | Общие переменные издержки на производство |
| $30 | $30 | |
| $30 | $300 | |
| $30 | $3,000 |
Фиксированные (постоянные) издержки (Fixed Costs – FC)- это издержки, которые в диапазоне релевантности
не меняются с изменением объема деятельности
• амортизация,
• расходы на аренду и лизинг,
• проценты по кредитам,
• заработная плата служащих, управляющих, контролеров,
• общие административные расходы.
Пример 7.2. Как изменятся общая величина постоянных издержек (стоимость аренды производственного помещения в месяц) и на 1 единицу продукции при изменении объема производства печей?
| Стоимость аренды в месяц | Количество произведенных печей | Стоимость аренды на единицу продукции |
| $9,000 | $9,000 | |
| $9,000 | $900 | |
| $9,000 | $90 |

Рис. 7.2. Графическое представление издержек
Некоторые из этих издержек могут изменяться не совсем прямо пропорционально объему и в то же время не быть постоянными – это смешанные издержки (см. пример 7.3.)
Функцию затрат (размежевание переменных и постоянных расходов) устанавливают посредством одного из следующих методов:
§ метод высшей и низшей точек («мини-макси»);
§ визуальный (корреляционный) метод;
§ метод наименьших квадратов (регрессионный анализ);
§ инженерный (технологический) метод;
§ метод упрощенного статистического анализа
Рассмотрим некторые из них более подробно.
Пример 7.3. Пусть, к примеру, необходимо проанализировать затраты, связанные с доставкой товара, которые, очевидно, являются смешанными. Фактические данные по этим затратам содержаться в таблице:
| Кол-во прод. | Затраты на | |
| Месяц | товаров | доставку |
| Январь | 6,000 | $66,000 |
| Февраль | 5,000 | 65,000 |
| Март | 7,000 | 70,000 |
| Апрель | 9,000 | 80,000 |
| Май | 8,000 | 76,000 |
| Июнь | 10,000 | 85,000 |
| Июль | 12,000 | 100,000 |
| Август | 11,000 | 87,000 |
Эти данные наносятся на график:

Рис. 7.3. Образец фактических данных
Согласно методу верхней-нижней точки из всех точек, приведенных на рис. 7.3, для оценки используются только две: первая (верхняя) соответствует наибольшему значению объема реализации товара, вторая (нижняя) соответствует наименьшему объему реализации. Данные, соответствующие этим точкам, сводим в отдельную таблицу.
| Кол-во прод.товаров | Затраты на доставку | |
| Верхняя точка активности | 12,000 | $100,000 |
| Нижняя точка активности | 5,000 | 65,000 |
| Изменение | 7,000 | $35,000 |
По этим данным определяем переменные затраты на 1 ед.:

Затем, основываясь на данных, соответствующих верхней точке, определяем постоянных затрат:
Доля постоянных затрат = Суммарные затраты — Переменные затраты =
= $100,000 — (12,000 единиц х $5)= $40,000.
В результате оказывается, что постоянные издержки составляют за месяц $40,000, а переменные издержки на единицу продукции равны $5. Эти данные используются в дальнейшем для анализа безубыточности.
Графический метод заключается в простой подгонке прямой линии с помощью линейки, которая накладывается на точки рис. 6.2 таким образом, чтобы наилучшим образом аппроксимировать все множество точек. Точка пересечения этой линии с вертикальной осью оценивает постоянные издержки.
Метод наименьших квадратов является наиболее точным. Подбор прямой линии суммарных издержек производится с помощью стандартных приемов регрессионного анализа и на практике сводится к использованию стандартной компьютерной программы, которая в качестве входных данных потребляет таблицы исходных данных, а результатом являются суммарные постоянные издержки и переменные издержки на единицу продукции.
7.3.
Расчёт точки безубыточности:
Выручка = Переменные издержки + Постоянные издержки + Прибыль (7.1.)
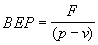
Пусть p — цена единицы продукции, а N — объем производства за некоторый промежуток времени. Запишем основное уравнение модели, символизирующее тот факт, что прибыль до выплаты налогов NI определяется суммарной выручкой за вычетом всех постоянных и переменных издержек
где F — величина постоянных издержек за период времени, а v — величина переменных издержек на единицу продукции.
Точка безубыточности по определению соответствует условию NI = 0, откуда
|
.
Таким образом, для того, чтобы рассчитать точку безубыточности необходимо величину постоянных издержек разделить на разницу между ценой продаж продукции и величиной переменных издержек на единицу продукции. Последняя носит название маржинального дохода.
Если задача заключается в определении целевого объема продаж NT, т.е. такого значения объема продаж, которое соответствует заданному значению прибыли NIT, то используем аналогичное соотношение
|
откуда
|
.
Важной характеристикой успешной работы предприятия является величина запаса безопасности (Safety Margin), которая в относительной форме определяется в виде разности между запланированным объемом реализации и точкой безубыточности
|
.
Чем выше этот показатель, тем безопаснее себя чувствует предприятие перед угрозой негативных изменений (уменьшении выручки или увеличения издержек).
Сущность анализа безубыточности полностью раскрывается на графике безубыточности (см. рис. 7.3). Этот график показывает объем произведенной продукции в натуральном выражении на горизонтальной оси и величину дохода или издержек в стоимостном выражении на вертикальной оси. Можно было бы построить аналогичный график, откладывая по горизонтальной оси объем выпуска в процентах к полной мощности.

АС — линия совокупных издержек; ОD — линия выручки от реализации
Линия АВ, показывающая постоянные издержки, которые не меняются в зависимости от объема, проходит параллельно оси Х. Вертикальное расстояние между линией АВ и линией АС при любом определенном объеме характеризует совокупные переменные издержки производства данного объема продукции, а вертикальное расстояние между ОА и АС при любом определенном объеме производства характеризует совокупные издержки производства данного объема. Когда продукция не реализуется совокупные издержки не равны нулю, а равны ОА. Когда объем выпуска равен Х, совокупные издержки представлены линией СХ, которая равна = ХВ + ВС (ХВ — фиксированные элементы издержек (то же, что ОА) и ВС — переменные элементы издержек).
Для каждой конкретной цены продажи единицы конечного продукта, линия ОD, будет показывать величину доходов при различных объемах продаж. Пересечение линии совокупного дохода с линией совокупных издержек определяет точку безубыточности (ТБ) "N", точку в которой совокупный доход равен совокупным издержкам (переменным и постоянным). Любая разность по вертикали между линией совокупного дохода и совокупных издержек справа от ТБ показывает прибыль при данном объеме производства, в то время как убытки будут показываться на графике слева от ТБ, потому как в этом случае совокупные издержки превышают совокупный доход.
Пример 7.4.: Перед руководством предприятия «Ирис» стоит вопрос об эффективности реализации нового инвестиционного проекта. Для решения вопроса о целесообразности принятия его к дальнейшему детальному рассмотрению в качестве первого этапа оценки было принято решение провести анализ безубыточности проекта. В результате реализации инвестиционного проекта предприятие планирует следующие изменения. Приобретение нового оборудования общей стоимостью 16.8 млн. грн. со сроком эксплуатации 10 лет и планируемой ликвидационной стоимостью 0.8 млн. грн. Предполагается, что старое оборудование будет полностью выведено из эксплуатации, а для нового оборудования будет применяться прямолинейный метод начисления амортизации. Внедрение нового оборудования приводит к следующим последствиям:
- затраты на электроэнергию уменьшаются на 16 процентов,
- стоимость сырья увеличивается на 22 процента,
- потери на брак уменьшаются на 50 процентов,
- постоянные затраты на оплату труда вместе с отчислением на соцстрах увеличиваются на 14 процентов, в то время как затраты прямого труда на единицу продукции уменьшаются на 40 процентов,
- общецеховые расходы также увеличиваются на 12 процентов, а общезаводские и административные – на 10%.
Внедрение нового оборудования за счет улучшения качества выпускаемой продукции по оценкам отдела сбыта позволит продавать продукцию по более высокой цене (на 12 процентов) и объем реализации планируется также увеличить на 15 процентов.
Решение
Для решения задачи построим рабочий формат расчётов анализа безубыточности (таблица 6.1.). Из таблицы 6.1. следует: Сопоставляя данные обоих вариантов расчета, можно сделать вывод о том, что инвестиционный проект приводит к следующим изменениям состояния предприятия с точки зрения его безубыточности: точка безубыточности увеличилась с 68 076,15 единиц до 74 762,35 единиц продукции. Этот факт сам по себе квалифицируется как негативное изменение. В то же время, за счет планируемого увеличения объема продаж величина прибыли до налогов увеличивается с 1 068 052,00 грн. до 1 547 732,87 грн. Кроме того, увеличивается и размер прибыли на единицу продукции с 11,30 грн до 14,24 грн. Как конечный ре
Таблица 7.1.
Рабочий формат анализа безубыточности
| Существующий проект | Изменение | Предлагаемый проект | |||
| Переменные издержки на единицу продукции | |||||
| Сырье | 30,49 | 22% | 37,20 | ||
| Пар | 11,96 | 11,96 | |||
| Электроэнергия | 4,34 | -16% | 3,65 | ||
| Прямой труд | 1,23 | -40% | 0,74 | ||
| Потери от брака | 0,19 | -50% | 0,10 | ||
| Прочие | 0,08 | 0,08 | |||
| Всего | 48,29 | 53,72 | |||
| Постоянные издержки за 1 год | |||||
| Непрямой труд | 114 456,00 | 14% | 130 479,84 | ||
| Отчисления на соцстрах | 77 811,00 | 14% | 88 704,54 | ||
| Амортизация | 824 609,00 | 1 600 000,00 | |||
| Общецеховые расходы | 138 127,00 | 12% | 154 702,24 | ||
| Общезаводские и административные расходы | 1 584 579,00 | -10% | 1 426 121,10 | ||
| Прочие расходы | 12 056,00 | 12 056,00 | |||
| Всего | 2 751 638,00 | 3 412 063,72 | |||
| Цена единицы продукции | 88,71 | 12% | 99,36 | ||
| Минус переменные расходы | 48,29 | 53,72 | |||
| Маржинальный доход | 40,42 | 45,64 | |||
| Точка безубыточности | 68 076,15 | ед. прод. | 74 762,35 | ед. прод. | |
| 6 039 035,30 | грн | 7 428 027,76 | грн | ||
| Оценка прибыли | |||||
| План продажи | 94 500,00 | ед. прод. | 15% | 108 675,00 | ед. прод. |
| Доход | 8 383 095,00 | 10 797 426,36 | |||
| Минус переменные издержки | 4 563 405,00 | 5 837 629,77 | |||
| Минус постоянные издержки | 2 751 638,00 | 3 412 063,72 | |||
| Прибыль | 1 068 052,00 | 1 547 732,87 | |||
| Прибыль на 1 ед. продукции | 11,30 | 14,24 | |||
| Запас безопасности | 2 344 059,70 | 3 369 398,60 | |||
| Запас безопасности (%) | 27,96% | 31,21% |
зультат запас безопасности увеличивается.
Таким образом, проект может быть принять для дальнейшего рассмотрения и учёта других факторов, влияющих на эффективность проекта.
7.4
Операционный рычаг (Operating Leverage) показывает во сколько раз изменяется прибыль при увеличении выручки. Для вычисления операционного рычага используется следующие формулы:
Относительное изменение прибыли = Операционный рычаг x Относи- тельное изменение выручки (7.6.)
Операционный рычаг = Маржинальный доход / Чистая прибыль (7.7.)
Действие операционного рычага (левериджа) проявляется в том, что любое изменение выручки от продажи продукции всегда порождает значительное изменение прибыли. Этот эффект обусловлен разной степенью влияния динамики постоянных и переменных затрат на формирование финансовых результатов при изменении объема производства. Чем выше уровень постоянных затрат, тем больше сила влияния операционного рычага. Сила влияния операционного рычага информирует об уровне предпринимательского риска.
Пример7.5.: В стадии обсуждения находятся 2 проекта - X и Y. Планируется, что оба проекта будут приносить одинаковый объем выручки (500 000 $) и прибыль (60 000 $). Однако при этом известно, что проект X будет иметь 70 % переменных издержек в структуре выручки от реализации, а проект Y — всего 20 %. Определить, какой из проектов обладает большим риском.
Решение
| Проект X | Проект Y | |||
| Выручка | 100% | 100% | ||
| Минус переменные издержки | 70% | 20% | ||
| Маржинальный доход | 30% | 80% | ||
| Чистая прибыль (убыток) | ||||
| Операционный рычаг | 2,5 | 6,67 |
Уровень предпринимательского риска выше у проекта Y, т.к. сила влияния операционный рычага проекта Y выше.
Рассмотрение этого примера вызывает естественный вопрос: какую выбрать структуру затрат: с преобладанием переменных расходов (малый рычаг и невысокое значение ОВД) или с преобладанием постоянных расходов (большой рычаг и высокое значение ОВД)? Изучим этот вопрос на сравнительном примере.
Пример 7.6. Рассмотрим две компании с различной структурой затрат
| Компания X | Компания Y | |||
| Выручка | 100% | 100% | ||
| Минус переменные издержки | 60% | 30% | ||
| Маржинальный доход | 40% | 70% | ||
| Минус постоянные издержки | ||||
| Чистая прибыль |
Пусть в будущем ожидается улучшение состояния на рынке, что в конечном итоге приведет к увеличению объема продаж на 10 процентов. Тогда отчеты о прибыли будут выглядеть следующим образом:
| Компания X | Компания Y | |||
| Выручка | 100% | 100% | ||
| Минус переменные издержки | 60% | 30% | ||
| Маржинальный доход | 40% | 70% | ||
| Минус постоянные издержки | ||||
| Чистая прибыль |
Очевиден вывод: компания Y находится в лучшем положении, т.к. ее прибыль увеличилась на $7000 по сравнению с $4000 у компании X.
Пусть в будущем ожидается ухудшение состояния на рынке, что в конечном итоге приведет к уменьшению объема продаж на 10 процентов.
| Компания X | Компания Y | |||
| Выручка | 100% | 100% | ||
| Минус переменные издержки | 60% | 30% | ||
| Вложенный доход | 40% | 70% | ||
| Минус постоянные издержки | ||||
| Чистая прибыль |
В этом случае мы приходим к выводу о том, что компания Х находится в лучшем положении, т.к. ее прибыль уменьшилась на 4000 по сравнению с 7000 у компании Y.
Тема 8: Оценка и принятие проектных решений
в условиях риска и неопределённости
8.1. Понятие неопределённости и риска, классификация проектных рисков
8.2. Риск-менеджмент: его значение, алгоритм осуществления
8.3. Качественный анализ рисков
8.4. Содержание и методический инструментарий количественного анализа рисков проектов
Инвестиционный проект разрабатывается, базируясь на вполне определенных предположениях относительно капитальных и текущих затрат, объемов реализации произведенной продукции, цен на товары, временных рамок проекта. Вне зависимости от качества и обоснованности этих предположений будущее развитие событий, связанных с реализацией проекта, всегда неоднозначно.
Состояние неоднозначности развития определенных событий в будущем, невозможность точного предсказания основных величин и показателей развития деятельности предприятия и, в том числе, реализации инвестиционного проекта называется неопределенностью. Неопределённость порождает риск.
Риск проекта — это возможность недополучения ожидаемого уровня доходности при реализации данного проекта (т.е. возможность недополучения желаемой отдачи от вложения средств). В количественном выражении проектный риск обычно определяется как изменение показателей проекта: чистой приведенной стоимости (NPV), внутренней нормы доходности (IRR) и срока окупаемости (PP).
Классификация риска приведена на рис.8.1.
В целом же можно выделить следующие основные риски, присущие практически всем проектам:
ü маркетинговый риск (это риск недополучения прибыли в результате снижения объема реализации или цены товара);
ü риск несоблюдения графика проекта;
ü риск превышения бюджета проекта;
ü общеэкономические риски (риски, связанные с внешними по отношению к предприятию факторами, например риски изменения курсов валют и процентных ставок, усиления или ослабления инфляции).
Из сущностной природы рисков проекта, абсолютно очевидно, что все участники инвестиционного проекта заинтересованы в системной оценке возможных потерь и планировании процедур возможной их минимизации, т.е. осуществлении риск-менеджмента. Алгоритм риск-менеджмента предполагает осуществление определенной последовательности этапов и действий (рис.8.2).

Рис. 8.1. Классификация рисков проекта
![]() |
Рис. 8.2. Алгоритм риск-менеджмента проекта
Продуктом качественного анализа рисков является описание неопределенностей, присущих проекту, причин, которые их вызывают, и, как результат, «идентификация проектных рисков» (т.е. выявление конкретных видов рисков данного проекта, их описание и исследование возможных причин их возникновения).
Количественный анализ рисков проектов направлен на количественное измерение величины отдельных рисков, а также рискованности проекта в целом. То есть, количественный анализ рисков необходим для того, чтобы оценить, каким образом наиболее значимые рисковые факторы могут повлиять на показатели эффективности инвестиционного проекта.
Существует несколько основных методик проведения подобного анализа:
ü анализ влияния отдельных факторов (анализ чувствительности);
ü анализ влияния комплекса факторов (сценарный анализ);
ü имитационное моделирование (метод Монте-Карло).
Анализ чувствительности – это стандартный метод количественного анализа, который заключается в сравнительном анализе влияния различных факторов инвестиционного проекта на ключевой показатель эффективности проекта. На рис. 8.3. приведена наиболее рациональная последовательность проведения анализа чувствительности.

Рис. 8.3. Последовательность проведения анализа чувствительности
В итоге анализа чувствительности выявляют наиболее важные факторы риска проекта. Для этого рассчитывается специальный показатель эластичности Е для каждого фактора:
Е = D% NPV / D% x, (1)
где: D% NPV = (NPVновое – NPVбазовое)*100/ NPVбазовое – это изменение значения NPV в процентах от базового значения.
D% х = (хновое – хбазовое)*100/ хбазовое – изменение проектной переменной х в процентах от базового значения.
Если абсолютное значение (без учёта знака «+» или «-») Е ≥ 1, то процентное изменение факторного показателя меньше, чем относительное изменение чистой текущей стоимости. Следовательно, данный фактор является небезопасным для проекта.
Если абсолютное значение (без учёта знака «+» или «-») Е < 1, то процентное изменение факторного показателя больше или равно относительному изменению чистой текущей стоимости. Следовательно, данный фактор является менее опасным для проекта.
Рассчитав показатели эластичности, переменные ранжируют по степени их чувствительности, то есть по степени их влияния на результаты проекта. Затем методом экспертных оценок определяют возможности прогнозирования изменений значений переменных и составляют так называемую матрицу чувствительности и предсказуемости (табл. 8.1), с помощью которой выявляются наиболее рискованные для проекта факторы.
Таблица 8.1
| Предсказуемость переменных | Чувствительность переменной | ||
| Высокая | Средняя | Низкая | |
| Низкая | Дальнейшая проверка | Необходимость отслеживания изменения фактора | Контроль за изменением фактора |
| Средняя | Внимательное отслеживание изменения фактора | Внимательное отслеживание изменения фактора | Установить без дальнейших процедур |
| Высокая | Контроль за изменением фактора | Установить без дальнейших процедур | Установить без дальнейших процедур |
Исходя из того, в какой сектор матрицы (таблица 8.1) попала та или иная переменная, разрабатываются соответствующие рекомендации.
Пример 8.1. Рассматривается проект создания небольшого кондитерского цеха. Первоначальные инвестиции составляют 10 000 грн, период жизни проекта 5 лет. Проект предусматривает выпуск и реализацию 1000 кг тортов в месяц новой продукции по цене 30 грн. Себестоимость изготовления 1 кг составляет 20 грн., ставка дисконтирования 10%. Осуществить анализ чувствительности проекта.
Решение
Рассчитаем чистую текущую стоимость проекта:
| год | приток | отток | CF | 1/(1+r)n | NPV |
| 10 000,00 | -10 000,00 | 1,0000 | -10 000,00 | ||
| 360 000,00 | 240 000,00 | 120 000,00 | 0,9091 | 109 092,00 | |
| 360 000,00 | 240 000,00 | 120 000,00 | 0,8264 | 99 168,00 | |
| 360 000,00 | 240 000,00 | 120 000,00 | 0,7513 | 90 156,00 | |
| 360 000,00 | 240 000,00 | 120 000,00 | 0,6830 | 81 960,00 | |
| 360 000,00 | 240 000,00 | 120 000,00 | 0,6209 | 74 508,00 | |
| 444 884,00 |
Установление аналитической зависимости NPV от ключевых переменных с помощью следующего уравнения:
NPV= Объем продаж*(Цена –Себестоимость 1 ед.)*Тек. стоимость аннуитета - Первоначальные инвестиции
| Показа-тели | Базовое значение показ-ля | Базовая NPV | Замена показателя | Новая величина NPV | % изменения NPV | Эластичность NPV | Чувствительность | возможность прогнозирования | критическое значение показателей | |
| % | новое значение | |||||||||
| Объём продаж | 444 884,00 | -10 | 399395,6 | -10,2248 | 1,02 | высокая | средняя | 263,80 | ||
| Цена | 444 884,00 | -10 | 308418,8 | -30,6743 | 3,07 | высокая | низкая | 23,16 | ||
| Себестои-мость | 444 884,00 | 353907,2 | -20,4496 | -2,04 | высокая | высокая | 26,84 |
Анализ сценариев — это прием анализа риска, который на ряду с базовым набором исходных данных проекта рассматривает ряд других наборов данных, которые по мнению разработчиков проекта могут иметь место в процессе реализации. Обычно рассматривают три сценария: оптимистический, пессимистический и наиболее вероятный, но при необходимости их число можно увеличить. В каждом из сценариев фиксируются соответствующие значения отобранных факторов, после чего рассчитываются показатели эффективности проекта.
Каждому сценарию на основе экспертных оценок присваивается вероятность его реализации. Данные каждого сценария подставляются в основную финансовую модель проекта, и определяются ожидаемые значения NPV и величины риска.
Пример 8.2. Используя данные примера 1 осуществить анализ сценариев, если на на 60% будет иметь место базовый вариант развития бизнеса, на 25 % может сложиться наилучшая для проекта ситуация (когда объём продаж возрастёт на 10%, цена продукции – на 20%), а на 15 % - наихудшая (когда объём продаж сократится на 30%, а себестоимость 1 ед. будет выше на 30%).
Определим NPV для пессимистического сценария реализации проекта:
| приток | отток | CF | 1/(1+r)n | NPV | |
| 10 000,00 | -10 000,00 | 1,0000 | -10 000,00 | ||
| 252 000,00 | 312 000,00 | 33 600,00 | 0,9091 | 30 545,76 | |
| 252 000,00 | 312 000,00 | 33 600,00 | 0,8264 | 27 767,04 | |
| 252 000,00 | 312 000,00 | 33 600,00 | 0,7513 | 25 243,68 | |
| 252 000,00 | 312 000,00 | 33 600,00 | 0,6830 | 22 948,80 | |
| 252 000,00 | 312 000,00 | 33 600,00 | 0,6209 | 20 862,24 | |
| 117 367,52 |
Определим NPV для оптимистического сценария реализации проекта:
| приток | отток | CF | 1/(1+r)n | NPV | |
| 10 000,00 | -10 000,00 | 1,0000 | -10 000,00 | ||
| 475 200,00 | 343 200,00 | 132 000,00 | 0,9091 | 120 001,20 | |
| 475 200,00 | 343 200,00 | 132 000,00 | 0,8264 | 109 084,80 | |
| 475 200,00 | 343 200,00 | 132 000,00 | 0,7513 | 99 171,60 | |
| 475 200,00 | 343 200,00 | 132 000,00 | 0,6830 | 90 156,00 | |
| 475 200,00 | 343 200,00 | 132 000,00 | 0,6209 | 81 958,80 | |
| 490 372,40 |
Рассчитаем NPV проекта с учётом вероятности наступления каждого сценария
| Сценарии | Вероятность | NPV, грн | NPV с учётом вероятности, грн. |
| Базовый | 0,6 | 444 884,00 | 266 930,40 |
| Пессимистический | 0,15 | 117 367,52 | 17 605,13 |
| Оптимистический | 0,25 | 490 372,40 | 122 593,10 |
| В целом | 407 128,63 |
Таким образом, с учётом вероятности наступления каждого сценария значение NPV проекта составляет 407128,63 грн., что свидетельствует о возможности реализации проекта.
В случае когда точные оценки параметров задать нельзя, а аналитики могут определить только интервалы возможного колебания показателя, используют метод имитационного моделирования Монте-Карло. Основной смысл расчетов сводится к следующему. На первом этапе задаются границы, в которых может изменяться параметр. Затем программа случайным образом (имитируя случайность рыночных процессов) выбирает значения этого параметра из заданного интервала и рассчитывает показатель эффективности проекта, подставляя в финансовую модель выбранное значение.
Тема 9: Функциональные аспекты проектного анализа
9.1. Общая последовательность разработки и анализа проекта
9.2. Маркетинговый анализ: цели, содержание, методический инструментарий
9.3. Технический анализ: цели и задачи, методический инструментарий
9.4. Экологический анализ (самостоятельно!!!!!)
9.5. Финансовый анализ
9.6. Экономический анализ
9.7. Институциональный анализ
9.8. Социальный анализ (самостоятельно!!!!!)
