Если с.в. Х представляет собой сумму большого числа, взаимно-независимых с.в., т.е. X =
,влияние каждой из которых на всю сумму ничтожно мало, то с.в.Х имеет распределение, не ограниченно приближающееся к нормальному распределению.
Начальные и центральные моменты непрерывной случайной величины, асимметрия и эксцесс.
Асимметрия и эксцесс
В прикладных задачах, например в математической статистике, при теоретическом изучении эмпирических распределений, отличающихся от нормального распределения, возникает необходимость количественных оценок этих различий. Для этой цели введены специальные безразмерные характеристики.
Определение. Асимметрией теоретического распределения называется отношение центрального момента третьего порядка к кубу среднего квадратического отклонения:

Определение 7. Эксцессом теоретического распределения называется величина, определяемая равенством

где μ4 — центральный момент четвертого порядка.
Для нормального распределения As = Еk = 0. При отклонении от нормального распределения асимметрия положительна, если "длинная" и более пологая часть кривой распределения расположена справа от точки на оси абсцисс, соответствующей моде; если эта часть кривой расположена слева от моды, то асимметрия отрицательна (рис. 18.7, а, б).
|
|
|
Эксцесс характеризует "крутизну" подъема кривой распределения по сравнению с нормальной кривой: если эксцесс положителен, то кривая имеет более высокую и острую вершину; в случае отрицательного эксцесса сравниваемая кривая имеет более низкую и пологую вершину

Следует иметь в виду, что при использовании указанных характеристик сравнения опорными являются предположения об одинаковых величинах математического ожидания и дисперсии для нормального и теоретического распределений.
Пример 5. Пусть дискретная случайная величина Х задана законом следующего распределения:

Найти асимметрию и эксцесс теоретического распределения.
Решение. Найдем сначала математическое ожидание случайной величины:

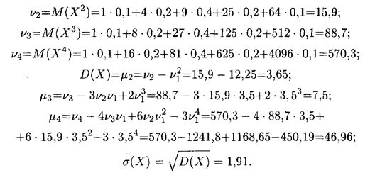
Затем вычисляем начальные и центральные моменты 2, 3 и 4-го порядков и среднее квадратическое отклонение (см. формулы (18.27)-(18.31)):

Теперь по формулам (18.45) и (18.46) находим искомые величины:

В данном случае "длинная" часть кривой распределения расположена справа от моды, причем сама кривая является несколько более островершинной, чем нормальная кривая с теми же величинами математического ожидания и дисперсии.
.






