Комбинированные методы.
Вращение плоскости поляризации в оптически активных средах.
3. Явлениях естественного или искусственного двулучепреломления. (n┴ ≠ n║)
4. Поляризация при отражении, например, явление Брюстера.
· регистрация поляризации люминесцентного свечения;
· регистрация поляризации рассеянного излучения.
Поляриметрия в узком смысле слова – метод измерений основанный на регистрации угла вращения плоскости поляризации оптически активного вещества.
∆α =α0∙с∙ℓ,
где ∆α – угол между векторами Р1 и Р2 на входе и выходе образца;
α0 – удельное вращение [град/м2кг], зависящее от рода вещества;
с – концентрация оптически активного вещества [ кг/м3 ];
ℓ - расстояние.
Молекулы оптически активных веществ представляют собой фигуры без центра симметрии.
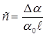
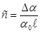
Концентрация оптически активного вещества:


.
Схема поляриметра содержит:
1 – источник излучения, 2 – оптическая схема, 3 –светофильтр, 4 – поляризатор, 5 – образец, 6 – анализатор, 7 – приемник излучения, 8 – схема обработки сигнала.
|
|
|
Измерения опираются на закон Малюса:
I(1) = I0 Cos2α
где α – угол между осью поляризатора и направлением поляризации.
Измерения проводятся на скрещенных анализаторе и поляризаторе, то есть при α=π/2. Оптически-активное вещество увеличивает величину потока до значения:
,
Откуда
,
где Ф0 – поступающий поток,
Ф – проходящий поток;
VФ – фотоответ приемника излучения с чувствительностью
SV и спектральной эффективностью φ.
Концентрация оптически активного вещества вычисляется по формуле:
.
Откуда следует

Возможен также компенсационный способ измерения угла вращения плоскости поляризации. В этом случае при отсутствии оптически-активного вещества, анализатор 6 выставляется так, чтобы наблюдался максимальный фотоответ приёмника 7.
После размещения образца с целью определения угла вращения, анализатор 6 вращается до тех пор, пока сигнал на выходе не достигнет своего первоначального значения. По определённому значению сдвига угла направления поляризации ∆α, находят концентрацию вещества.






