Принципы измерений, основанные на искусственном двойном лучепреломлении.
1. Эффект Керра (квадратичный электрооптический эффект):
n0 – ne = E2*β*λ,
где β - постоянная Керра
a. Датчик электрического поля:

b. Определение типа вещества:

2. Эффект Поккельса (линейный электрооптический эффект):
n0 – ne =П*Е
где E – напряженность электрического поля;
П – постоянная Поккельса, определяемая соотношением П = n03 r
здесь r – показатель Поккельса; n0 – показатель преломления обыкновенного луча; ℓ - длина образца.
Таким образом E n03 r = n0 – ne
Поэтому 
Откуда следует 
3. Магнитооптический эффект:
n0 – ne = Кm*Н*ℓ

4. Оптико-механический эффект:
n0 – ne = Ком∙σ∙ℓ
где σ – механическое напряжение, которое создается в образцах.
.
44. Люминесцентно – поляризационный анализ
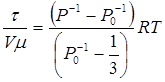
Метод основан на измерении поляризации люминесцентного излучения, которое определяется по формуле Левшина – Перрона:
,
где Р0 – состояние начальной степени поляризации;
τ – время жизни возбужденного состояния;
V – объем частиц;
Т – температура;
R – универсальная газовая постоянная;
μ – вязкость среды.
Из приведенной формулы следует:

Таким образом, удается определять параметры вещества:
a. τ – время жизни возбужденного люминесцентного объекта
b. V – объем люминесцирующих частиц.
c. μ – вязкость среды.

Измерение степени поляризации люминисцентного свечения проводится прибором, схема которого приведена на рисунке.
1 – источник излучения; 2 – монохроматор; 3 –люминесцирующий образец; 4 –спектральный элемент;
5 – поляроид, 6 -двигатель.
Если поляризатор вращается с частотой fВ, то динамика фотоответа выглядит как показано на рис.

Амплитуда колебаний на частоте fВ будет аналитическим сигналом. Метод широко используется при определении параметров растворов люминесцирующих веществ в микробиологии.
45. Эллипсометрия в исследованиях поверхностных слоев и пленок
Из основ оптики известно, что в падающем на поверхность раздела сред излучении ЕТЕ и ЕТН составляющие имеют коэффициенты отражения, и различные коэффициенты прохождения через границу раздела двух сред. Количественно эти параметры выражаются известными формулами Френеля:
;
.
;

Данные формулы позволяют определить параметры плеохроизма.


Параметры эллипса поляризации:
1) Ориентация оси эллипса
Δ = φ1 – φ2,
где φ1 – сдвиг фаз поляризации ЕТН;
φ2 – сдвиг фаз поляризации ЕТЕ.
2) Вытянутость эллипса ψ = arctg (ρТН / ρТЕ ),
где ρ – коэффициент отражения.
;
,
где
;
.
Тогда
,
где
,
Δ = φ1 – φ2
В результате анализа эллипсометрических параметров получают значения:

и Δ = φ1 – φ2 ,
Таким образом определяются приповерхностные свойства исследуемых материалов. Схема эллипсометра приводится ниже.

1 – источник когерентного излучения (лазер); 2 – поляризатор; 3 – объект исследования; 4 – компенсатор разности фаз поляризованного излучения;
5 – анализатор; 6 – оптическая система; 7 – приемник излучения; 8 – вычислительная техника для обработки сигнала.
46. Туннельная микроскопия и спектроскопия
Туннельные явления используют волновые свойства электронов, чем проявляют родство с оптическими волновыми явлениями. Сканирующая туннельная микроскопия (СТМ) позволяет получать изображения поверхности на атомном уровне.
Квантовая частица описывается волновой функцией
,
где i – мнимая единица, р – квазиимпульс частицы.
Если имеется ступенчатый потенциальный барьер, высота которого Е0>W, то волна частично проходит через указанную границу.
Величина туннельного тока, пропорциональная числу прошедших через барьер частиц, экспоненциально зависит от расстояния:
,
где d – толщина зазора между зондом и поверхностью;
q – показатель ослабления, равный:

Туннельная спектроскопия основана регистрации величины туннльного тока, определяемого решением приведенных выше уравнений, относительно энергии поверхностных состояний, определяющих локальную высоту барьера |Е0 – W|.
Этот метод широко применяется при исследованиях микрообъектов.
В роли потенциального барьера в методе СТМ выступает зазор между остриём зонда (2) и проводящей поверхностью (1).
Зонд (2) управляется манипулятором (4) из пьезоэлектрика.
Устройство (7) перемещает зонд вдоль объекта. Если расстояние d меняется, то изменяется туннельный ток.
Контур обратной связи (5), вырабатывает сигнал, управляющий пьезо – манипулятором. Он несёт информацию о рельефе поверхности.






