Спектрополяриметрический анализ; законе Био
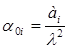
Спектрополяриметрические исследования построены на законе Био, согласно которому:
, где а0i- удельное вращение вещества i в растворе; аi – коэффициент, характерный для данного вещества.
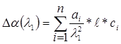
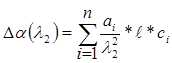
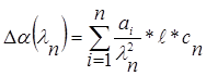
Если имеется n – веществ, то решают систему из n –уравнений..


…………………….......

Решение системы даёт концентрации оптически активных веществ {сi} исходя из результатов спектрального анализа углов поворота плоскости поляризации {∆α(λi)}.
![]() |
Для исследований используется прибор, схема которого содержит спектральный элемент (3), посредством которого формируются длины волн {λi}.
Спектро – поляриметр содержит: 1 – источник излучения, 2 – оптическая схема, 3 – спектральный элемент, 4 – поляризатор, 5 – образец, 6 – анализатор, 7 – фотоприемник, 8 – схема обработки сигнала, 9 – устройство контроля длины волны излучения, проходящее через поляризатор.
На каждой из длины волны измерения проводятся способами, изложенными в предыдущем разделе. В результате:

В ходе измерений на скрещенных анализаторе и поляризаторе (их оптические оси перпендикулярны), передвигая вторую пластину, добиваются компенсации разности фаз между n0 и ne:
∆φ(Б) =∆φ,
где ∆φ–разность фаз при прохождении двулучепреломленного вещества;
∆φ(Б)- разность фаз при прохождении компенсатора.
Для компенсатора, показанного на рисунке (компенсатор Бабине) сдвиг фаз, после прохождения обоих пластин, составит:
= 
где d2 – переменная, поэтому можно менять разность фаз обыкновенного и необыкновенного лучей с целью ее компенсации.
Схема поляризационного прибора включает:

1–источник излучения; 2–поляризатор; 3–светофильтр на длину λ0. 4–образец с двойным лучепреломлением, имеющий длину ℓ; 5–компенсатор Бабине; 6–анализатор; 7–приемник излучения; 8–электронная схема.
Измерение проводится по нулевому сигналу, что достигается при выполнении следующего соотношения:
(nБ0 – nБe )(d1 – d2 ) = (n0 – ne ) ℓ
отсюда разница показателей преломления обыкновенного и необыкновенного лучей:
n0 – ne







