Корреляционный подход и использование статистических мер связи
Проверка гипотез о связях, если речь идет о более чем одной переменной, предполагает одновременные изменения и измерения их безотносительно к указаниям направленности влияний (какая из переменных рассматривается как влияющая на другую).
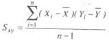
Статистической мерой связи служит при этом выборочный коэффициент ковариации S xy.
Он подсчитывается как среднее произведений отклонений каждой переменной:

Именно ковариация характеризует связь двух переменных Х и Y.
Ковариация дает количественную характеристику диаграммы рассеивания, на которой переменные обозначены осями, а отдельные наблюдения, т.е. полученные эмпирические данные, – точками в прямоугольной системе координат.
- Если связь положительна, то более высоким значениям одной переменной (X) чаще соответствуют и более высокие значения другой переменной (Y).
Для количественной оценки экспериментально полученных эффектов обычно используются меры различий, а не меры связей.
В корреляционном по способу сбора данных исследовании предпочтение отдается коэффициенту корреляции как более удобному способу количественной оценки величины связи.
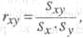
Корреляция есть отношение полученной ковариации к максимально возможной:

где r – процент от максимально возможной ковариации, которая в данном эмпирическом исследовании достигнута.
Другое определение коэффициента корреляции: корреляция есть ковариация стандартизованных переменных.
Обозначение r происходит от понятия регрессии.
В отличие от коэффициентов ковариации и корреляции, которые направлены на установление меры связи между переменными, коэффициент рефессии используется для цели предсказания одной переменной по данным другой.