Система дифференциальных уравнений (2) является системой 6ого порядка, поэтому должны существовать 6 независимых интегралов, полностью определяющих движение спутника, т.е. вид и форму орбиты; ее положение в пространстве и закон движения по ней. Каждый интеграл содержит одну произвольную постоянную, поэтому 6 произвольных постоянных полностью определяют невозмущенное движение ИСЗ.
Интегрируя (2) методом разделения переменных, получим:
Три интеграла площадей; интеграл энергии; интеграл орбиты и динамический интеграл.
Интеграл площадей.
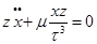
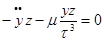
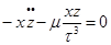
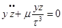
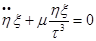
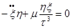
Запишем дифференциальные уравнения невозмущенного движения: Умножим по схеме и сложим, тогда:










В каждом из полученных уравнений заменим одну производную через дифференциал, тогда получим:
интегрируя эту систему найдем:
умножим по схеме, сложим
и получим:

(3)
Это значит, что невозмущенная орбита ИСЗ лежит в плоскости, проходящей через центр масс Земли и называется орбитальной плоскостью.
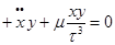
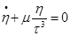
Если в орбитальной плоскости выбрать произвольную систему плоских прямоугольных координат ξ и η, то по аналогам с пространственной системой по осям ξ и η, получим:

ξ умножим по схеме, сложим
-η и найдем:
Заменим одну производную через
дифференциал, тогда:
после интегрирования найдем:
(4)
В данной плоской системе координат рассмотрим возможность определения
и
через полярные координаты
и φ, тогда
,
Дифференцируя, найдем:
;
(5)
Подставляя (5) в (4) получим:

Откуда:
или
(6)
Если в этом уравнении взять производную по времени, то получим удвоенную секториальную скорость, т.е. удвоенную площадь, описываемую радиус-вектором τ в единицу времени.
Таким образом, секториальная скорость есть величина постоянная и тем самым строго доказан второй закон Кеплера. Поэтому первые 3 интеграла называются интегралами площадей.