Расходомеры переменного перепада давления
Для получения сравнимых результатов измерений объемный расход газа или пара приводят к стандартным условиям.
Приборы, измеряющие расход вещества, называют расходомерами. Приборы, измеряющие количество вещества, протекающее через данное сечение трубопровода за некоторый промежуток времени, называют счетчиками количества. При этом количество вещества определяется как разность двух последовательных показаний счетчика в начале и конце этого промежутка времени. Показания счетчика выражаются в единицах объема, реже — в единицах массы. Прибор, одновременно измеряющий расход и количество вещества, называют расходомером со счетчиком. Расходомер измеряет текущее значение расхода, а счетчик выполняет интегрирование текущих значений расхода.
В последнее время граница между счетчиками и расходомерами практически исчезает. Расходомеры оснащают средствами для определения количества жидкости или газа, а счетчики — средствами для определения расхода, что позволяет объединить счетчики и расходомеры в одну группу приборов — расходомеры.
Устройство (диафрагма, сопло, напорная трубка), непосредственно воспринимающее измеряемый расход и преобразующее его в другую величину, удобную для измерения (например, в перепад давления), называют преобразователем расхода.
Принцип действия расходомеров этой группы основан на зависимости перепада давления, создаваемого неподвижным устройством, устанавливаемым в трубопроводе, от расхода вещества.
При измерении расхода методом переменного перепада давления в трубопроводе, по которому протекает среда, устанавливают сужающее устройство (СУ), создающее местное сужение потока. Из-за перехода части потенциальной энергии потока в кинетическую средняя скорость потока в суженном сечении повышается. В результате статическое давление в этом сечении становится меньше статического давления перед СУ. Разность этих давлений тем больше, чем больше расход протекающей среды, и, следовательно, она может служить мерой расхода. Перепад давления на СУ (рис. 78, а) равен

где
— давление на входе в сужающее устройство;
— давление на выходе из него.
Измерение расхода вещества методом переменного перепада давления возможно при соблюдении условий:
1) поток вещества заполняет все поперечное сечение трубопровода;
2) поток вещества в трубопроводе является практически установившимся;
3) фазовое состояние вещества, протекающего через СУ, не изменяется (жидкость не испаряется; газы, растворенные в жидкости, не десорбируются; пар не конденсируется).


Рис. 5.78. Расходомеры переменного перепада давления:
а — структура потока проходящего через диафрагму; б — распределение статического давления р вблизи диафрагмы по длине трубопровода
; / — сужающее устройство (диафрагма); 2 — импульсные трубки; 3 —
-образный дифманометр;
— сечение потока вещества, в котором не сказывается возмущающее воздействие диафрагмы;
— сечение потока вещества в месте его наибольшего сжатия; в — сопло; г — сопло Вентури
В качестве сужающих устройств для измерения расхода жидкостей, газов, пара широко применяются стандартные сужающие устройства. К ним относят стандартную диафрагму, сопло ИСА 1932, трубу Вентури и сопло Вентури.
Стандартная диафрагма (далее — диафрагма) — диск с круглым отверстием, имеющий острую прямоугольную входную кромку.
Сопло ИСА 1932 (далее — сопло) — СУ с круглым отверстием, имеющее на входе плавно сужающийся участок с профилем, образованным двумя сопрягающимися дугами, переходящий в цилиндрический участок на выходе, называемый горловиной (рис. 78, в).
Расходомерная труба Вентури (далее — труба Вентури) — СУ с круглым отверстием, имеющее на входе конический сужающийся участок, переходящий в цилиндрический участок, соединенный на выходе с расширяющейся конической частью, называемой диффузором.
Вентури — труба Вентури с сужающимся входным участком в виде сопла ИСА 1932 (рис. 78, г).
Эти наиболее изученные средства измерения расхода и количества жидкостей, газа и пара могут применяться при любых давлениях и температурах измеряемой среды.
Установим диафрагму в трубопроводе так, чтобы центр ее отверстия находился на оси трубопровода (рис. 78, а). Сужение потока вещества начинается до диафрагмы, на некотором расстоянии за диафрагмой поток достигает своего минимального сечения. Затем поток постепенно расширяется до полного сечения. На рис. 78, б изображено распределение давлений вдоль стенки трубопровода (сплошная линия), а также распределение давлений по оси трубопровода (штрихпунктирная линия). Давление потока около стенок трубопровода после СУ не достигает своего прежнего значения на величину
— безвозвратной потери, обусловленной завихрениями, ударом и трением (затрачивается значительная часть энергии).
Отбор статических давлений
и
возможен с помощью соединительных импульсных трубок 2, вставленных в отверстия, расположенные до и после диафрагмы / (рис. 78, а), а измерение перепада давления возможно с помощью какого-нибудь измерителя перепада давления (в данном случае
-образного дифманометра 3).
Сопло (рис. 78, в) конструктивно изготовляется в виде насадки с круглым концентрическим отверстием, имеющим плавно сужающуюся часть на входе и развитую часть на выходе. Профиль сопла обеспечивает практически полное сжатие потока вещества и поэтому площадь цилиндрического отверстия сопла может быть принята равной минимальному сечению потока, т. е.
. Характер распределения статического давления
в сопле по длине трубопровода
такой же, как и у диафрагмы. Такой же и отбор давлений
и
до и после сопла, как и у диафрагмы.
Сопло Вентури (рис. 78, г) конструктивно состоит из цилиндрического входного участка; плавно сужающейся части, переходящей в короткий цилиндрический участок; из расширяющейся конической части — диффузора. Сопло Вентури благодаря диффузору обладает меньшей потерей давления, чем диафрагма и сопло. Характер распределения статического давления
в сопле Вентури по длине трубопровода
такой же, как и у диафрагмы и сопла. Отбор давлений
и
осуществляется с помощью двух кольцевых камер, каждая из которых соединяется с внутренней полостью сопла Вентури группой равномерно расположенных по окружности отверстий.
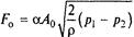
Теперь уравнение объемного расхода для несжимаемой жидкости принимает вид:

С учетом введения поправочного коэффициента е, учитывающего расширение измеряемой среды, окончательно перепишем уравнение:

Для несжимаемой жидкости поправочный коэффициент е равен единице, при измерении расхода сжимаемых сред (газа, пара) поправочный коэффициент
и определяется по специальным номограммам.