Напорные трубки аннубар (annubar)
Данные напорные трубки вставляются по диаметру трубы в протекающий поток. Отверстия расположены на двух сторонах трубки аннубар, как против течения, так и по нему. Эти отверстия соединены со сдвоенными усредняющими камерами. Число отверстий пропорционально диаметру трубы. Давление в камере, соединенной с отверстиями, направленными против течения, соответствует среднему значению скоростного напора. Давление в камере, соединенной с отверстиями, направленными по течению, соответствует среднему опорному давлению. Их разность дает точный и стабильный сигнал перепада давления, который пропорционален расходу.
Расходомеры постоянного перепада давления относят к средствам измерения, называемым расходомерами обтекания. Принцип их действия основан на зависимости перемещения тела, воспринимающего динамическое давление обтекающего его потока, от расхода вещества. Предназначены для измерения плавно меняющегося объемного расхода однородных потоков чистых и слабо загрязненных жидкостей и газов.
Простейшим и наиболее распространенным прибором постоянного перепада давления является ротаметр, предназначенный для измерения плавно меняющегося объемного расхода однородных потоков чистых и слабо загрязненных жидкостей и газов. Его действие основано на измерении вертикального перемещения чувствительного элемента (тела), зависящего от расхода среды и приводящего одновременно к изменению площади проходного сечения отверстия таким образом, чтобы перепад давления на чувствительном элементе остался постоянным. Противодействующая сила в расходомерах данного типа — сила тяжести чувствительного элемента, изготавливаемого в виде поплавка (или поршня).

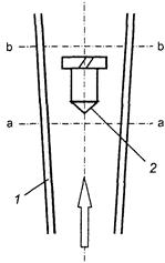
Рис. 82. Схема ротаметра.
Ротаметр (рис. 82) состоит из вертикальной конусной стеклянной трубки 1, внутри которой находится чувствительный элемент 2 — поплавок. Верхний его обод снабжен каналами с крутым наклоном. Под действием потока жидкости или газа поплавок вертикально перемещается и одновременно приходит во вращательное движение и центрируется в центре потока. При этом изменяется площадь кольцевого зазора между поплавком и внутренними стенками трубки. Перепад давления на поплавке определяется его массой. При постоянной массе поплавка площадь кольцевого зазора между поплавком и внутренними стенками трубки пропорциональна расходу вещества, протекающего по трубке. По перемещению поплавка ротаметра вдоль его шкалы, нанесенной на конусной стеклянной трубке, судят об объемном расходе в единицу времени (л/ч, м3/ч).
Итак, представим, что поплавок под действием потока вещества поднялся на некоторую высоту в ротаметре и остановился во взвешенном состоянии в измеряемой среде. Рассмотрим силы, действующие на поплавок ротаметра. В положении равновесия сила, создаваемая измеряемой средой, протекающей через ротаметр и действующей снизу, уравновешивается силой, создаваемой массой поплавка, и силой, действующей сверху. Масса поплавка т (в кг) при полном погружении его в измеряемую среду определяется как

где
— объем поплавка, м3;
и
— плотности материала, из которого изготовлен поплавок, и среды, протекающей через ротаметр, соответственно, кг/м3.
Пренебрегая силами трения, запишем равновесие сил:

где
— наибольшая площадь поперечного сечения поплавка, м2;
и
— давления измеряемой среды до (снизу) и после (сверху) поплавка соответственно, Па;
— ускорение свободного падения, м/с2.
Теперь определим из (5.88) перепад давления на поплавке Δ р (Па):

Из полученного уравнения следует, что независимо от положения поплавка перепад давления на нем постоянен и не зависит от расхода измеряемой среды. Это объясняется постоянством скорости измеряемой среды при изменении ее расхода, что обусловлено изменением площади кольцевого зазора, между поплавком и трубкой. Зависимость положения поплавка от величины измеряемого расхода линейна, поэтому шкала ротаметра равномерна.
Объемный расход жидкости и конструктивные параметры ротаметра связаны уравнением

где
— площадь кольцевого зазора между поплавком и стенками ротаметра.

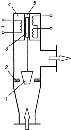
Рис. 83. Схема ротаметра с дифференциально-трансформаторным датчиком.
Ротаметр, снабженный передающим преобразователем с электрическим выходным сигналом, показан на рис. 83. Ротаметр имеет металлический корпус, конический поплавок 1, перемещаемый внутри кольцевой диафрагмы с коническим отверстием 2 под действием потока жидкости, проходящего снизу вверх. При подъеме поплавка проходное отверстие между рабочей поверхностью поплавка и внутренней кромкой диафрагмы увеличивается пропорционально измеряемому расходу среды. Поплавок ротаметра жестко связан с сердечником 3 передающего дифференциально-трансформаторного преобразователя 4, надетого на разделительную трубку 5, изготовленную из немагнитной стали.