Электрический диполь
Кроме не связанных между собой зарядов – свободные заряды, могут быть и связанные между собой заряды.
Система из двух одинаковых по модулю зарядов разного знака, находящихся на расстоянии друг от друга на расстоянии l друг от друга, называется электрическим диполем.
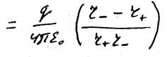
Такая система создает в пространстве электрическое поле. Оно обладает осевой симметрией, и ось симметрии есть прямая, проходящая через оба заряда, положительный q + и отрицательный q –. Пусть начало координат находится в центре диполя (сердцевина между зарядами), тогда потенциал φ электрического поля в т. r, создаваемого двумя электрическими зарядами, будет:

,
где r + и r – – расстояния от т. r до положительного и отрицательного зарядов, соответственно.

Если расстояние от центра диполя до т. r значительно больше расстояния между зарядами l |r| >> l, то φ примерно равно:

Величину P, равную P= q l – называют электрическим моментом диполя (здесь q = q +) – это вектор, направленный от отрицательного заряда к положительному, а его начало совпадает с центром диполя. Тогда:
,
где Θ – угол между вектором P и радиус–вектором точки r.
Найдем напряженность электрического поля E в т. r, используя связь между напряженностью E и потенциалом φ электрического поля в т. r E = - grad φ или
,здесь E l – проекция вектора напряженности электрического поля E на направление перемещения
, а n - единичный вектор в направлении перемещения.
– производная по направлению перемещения
.
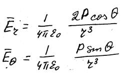
В полярной системе координат проекции векторов E r и E Θ равны:


Подставляя в них значение для потенциала φ электрического поля диполя в т. r получим для компонент E r и E Θ:

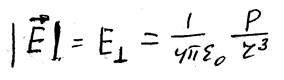
Для модуля вектора E будем иметь:

В частности, при Θ = 0, электрическое поле |E| = E || равно
,
а при Θ = π/2

Таким образом, при одном и том же r (на одном и том же расстоянии от диполя) поле на оси диполя E || в 2 раза больше поля E┴.






