I Электростатическое поле в веществе
(вспомним основные понятия и соотношения)
1. Источником электростатических полей являются заряды q (положительные и отрицательные).
2. Закон сохранения заряда – электрический заряд в любой замкнутой электродинамической системе остается постоянным.
3. Электрический заряд релятивистски инвариа нтен, т. е. его величина не зависит от системы отсчета и от его скорости.
4. Проявление поля – это наличие силы F, действующей на пробный заряд q (малый по величине), помещенный в данную точку пространства. Эта сила F равна: F = q E.
Направление силы, действующей на положительный заряд, совпадает с направлением вектора напряженности электрического поля E в точке нахождения пробного заряда, а на отрицательный заряд противоположно вектору E.
5. Электрическое поле точечного заряда q равно:
СИ СГСЕ


где r – радиус-вектор, исходящий из точки нахождения точечного заряда;
1/4πεο =9*109 [м/Ф], q [Кл], E [В/м], εο[Ф/м] – электрическая постоянная.
6. Принцип суперпозиции для E – поле от нескольких зарядов равно векторной сумме от полей Ei, создаваемых соответствующими зарядами qi:

где ri – радиус-вектор i-того заряда qi.
Если заряды распределены в некотором объеме V, то:

где ρ – плотность заряда в точке r.
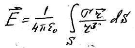
Если заряды распределены на некоторой поверхности S, то:

где σ – поверхностная плотность заряда в точке r.
Если заряды распределены на некоторой бесконечно тонкой линии L с линейной плотностью λ, то:

7. Геометрическое описание электрического поля. Его изображают в виде силовых линий. При этом стрелочки обозначают направление E, а густота силовых линий пропорциональна модулю вектора E = |E|.

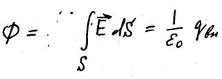
8. Свойство векторного поля E: а) описывается теоремой Гаусса. Поток Ф вектора электрического поля E через замкнутую поверхность S равен сумме всех (!) зарядов, находящихся внутри объема V, ограниченного поверхностью S.
В СИ

В CГCЕ напишите сами
ρвн – все (любые сторонние индуцированные и связанные) заряды внутри замкнутой поверхности S. Что это за заряды рассмотрим ниже.
Это интегральная форма записи. В дифференциальной форме он имеет вид:
div Е = 4πρвн
в) Еще одно свойство векторного поля Е определяется теоремой о циркуляции. Из механики известно, что любое стационарное поле центральных сил является консервативным, т. е. работа сил этого поля не зависит от пути, а зависит только от начальной и конечной точки. В нашем случае работа по перемещению единичного заряда в электрическом поле от точки 1 до точки 2 в пространстве равна
,
а по замкнутой траектории (циркуляция вектора Е) равна нулю

– это интегральная форма записи уравнения Максвелла (2-е уравнение).
Его дифференциальная форма имеет вид:
rot E = 0
9. Другое адекватное описание электрического поля E через потенциал φ (скалярная функция) электрического поля:

– интегральная форма записи или E = - grad φ – дифференциальная форма, где φ1 – φ2 – разность потенциалов в точках 1 и 2.
Потенциал электрического поля точечного заряда q равен:
φ(r) = q/4πεοrв СИ и φ(r) = q/rв СГСЕ,
где r – расстояние от точечного заряда до точки, в которой определяется потенциал.
Потенциал электрического поля от совокупности зарядов равен
, где φi – потенциал поля заряда qi в искомой точке пространства.
Поверхности, где потенциал φ = константе – называют эквипотенциальными поверхностями.






