Элементарная работа, совершенная при бесконечно малом перемещении заряда qв электрическом поле
и dA = – dU = – d (qφ). Так как q = const, а
, то
(6.9)
где El – проекция вектора
на произвольное направление. В соответствии с формулой (6.9)
а
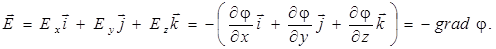
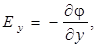
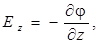
(6.10)
Напряженность в какой-либо точке электростатического поля равна градиенту потенциала (см. Приложение) в этой точке, взятому с обратным знаком.
Из выражений (6.2) и (6.4) можно получить интегральную формулу связи
и φ, в которую входят две точки поля:
(6.11)






