Для графического изображения электростатических полей используют линии вектора
- они проводятся так, чтобы в каждой точке вектор
был направлен по касательной к ним (рис. 6.2). Линии вектора
нигде не пересекаются, они начинаются на положительных зарядах, заканчиваются на отрицательных или уходят в бесконечность. Примеры графического изображения полей точечных зарядов приведены на рис. 6.2б,в,г.
В случае однородного поля (рис. 6.2∂) в каждой точке которого вектор
одинаков и по модулю, и по направлению, линии
представляют собой прямые, параллельные друг другу и отстоящие друг от друга на одинаковом расстоянии.

Рис. 6.2
Обычно линии
проводят так, чтобы их густота в каждой точке поля определяла числовое значение вектора
. Под густотой линий
понимают количество линий, пронизывающих перпендикулярную к ним плоскую поверхность фиксированной площади.
На рис. 6.2 пунктирными линиями изображены эквипотенциальные поверхности. Эквипотенциальная поверхность – это поверхность равного потенциала, в каждой точке поверхности потенциал φ будет одинаковым. Поэтому элементарная работа по перемещению заряда q по такой поверхности будет равна нулю: d A = – q d φ = 0. Соответственно вектор
в каждой точке поверхности будет перпендикулярен к ней, то есть будет направлен по вектору нормали
(рис. 6.2е).
Условились проводить эквипотенциальные поверхности так, чтобы разность потенциалов между соседними поверхностями была одинаковой.
Лекция 7
7.1. Поток и циркуляция вектора
электростатического поля.
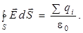
Теорема Гаусса для вектора 
Возьмем произвольный контур Г и произвольную поверхность Sв неоднородном электростатическом поле (см. рис. 7.1а,б).
|
Тогда циркуляцией вектора
по произвольному контуру Г называют интеграл вида
(7.1)
а потоком Ф Е вектора
через произвольную поверхность S следующее выражение:
(7.2)
Входящие в эти формулы векторы
и
определяются следующим образом. По модулю они равны элементарной длине dl контура Г и площади dS элементарной поверхности S. Направление вектора
совпадает с направлением обхода контура Г, а вектор
направлен по вектору нормали
к площадке dS (рис. 7.1).
В случае электростатического поля циркуляция вектора
по произвольному замкнутому контуру Г в соответствии с формулой (6.4) будет равна нулю:
(7.1а)
где А круг – работа сил поля по перемещению точечного заряда qпо этому контуру.
Как отмечено в Прил., этот факт является признаком потенциальности электростатического поля. Следовательно, электрические заряды в электростатическом поле обладают потенциальной энергией.
Уравнение (7.1а) в дифференциальной форме, справедливой для малой окрестности какой-либо точки электростатического поля, можно записать следующим образом (см. Прил.):
(7.1б)
Теорема Гаусса в отсутствии диэлектрика (вакуум) формулируется следующим образом: поток вектора
через произвольную замкнутую поверхность равен алгебраической сумме свободных зарядов
, охватываемых этой поверхностью и деленной на ε0:
(7.2)
Покажем справедливость теоремы для случая поля точечного заряда. Пусть замкнутая поверхность представляет собой сферу радиусом R, в центре которой находится точечный положительный заряд q (рис. 7.2а).
|
Тогда
(7.3)
Полученный результат не изменится, если вместо сферы выбрать произвольную замкнутую поверхность (рис. 7.2б), так как поток вектора
численно равен количеству линий
, пронизывающих поверхность, а число линий
в случаях (а)и (б) одинаково.
Подобные рассуждения с использованием принципа суперпозиции электростатических полей можно привести и в случае нескольких зарядов, попадающих внутрь замкнутой поверхности, что и подтверждает теорему Гаусса.
Запишем дифференциальную форму теоремы Гаусса, справедливую для любой малой окрестности какой-либо точки поля. С учетом формулы (П.10) Прил. получим
(7.4)
где введена объемная плотность ρ свободных электрических зарядов

то есть это заряд, содержащийся в единице объема.
7.2. Применение теоремы Гаусса для расчета электростатических полей
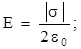
Пример 1. Электрическое поле равномерно заряженной по поверхности бесконечно протяженной плоскости.
|

то есть σ представляет собой заряд, приходящийся на единицу поверхности. Если плоскость заряжена равномерно, то тогда во всех ее точках σ будет одинаковой (σ = const), и поэтому поле такой бесконечно протяженной плоскости является однородным – линии
представляют прямые, перпендикулярные к ней (рис. 7.3).
2-й этап. Выбираем замкнутую поверхность в виде цилиндра, образующая которого перпендикулярна к плоскости (рис. 7.3). Тогда поток Ф Е через боковую поверхность будет равен нулю (α =900, линии
не пересекают боковой поверхности), и поэтому остается поток только через основание площади S 1 = S 2 = S:

3-й этап. Рассчитаем заряд плоскости, попадающий внутрь цилиндра:

4-й этап. Применяем теорему Гаусса для расчета модуля вектора
:
(7.5)
здесь учтен случай отрицательно заряженной плоскости.
Формула (7.5) позволяет провести расчет поля плоского конденсатора как поля двух параллельных плоскостей с равными по модулю и противоположными по знаку поверхностными зарядами (рис. 7.4а).
|
Используя принцип суперпозиции электростатических полей, можно сделать вывод о том, что поле конденсатора существует между его пластинами (рис. 7.4б), а модуль вектора этого поля
(7.6)
где
- модуль заряда одной из пластин конденсатора площадью S. Между обкладками конденсатора вакуум или газ.
Оценим разность потенциалов φ 1 – φ 2 (или напряжение U) между обкладками конденсатора, находящимися на расстоянии d друг от друга. Для этого используем формулы (6.5) и (7.6):
(7.7)
Пример 2. Поле равномерно заряженной бесконечно длинной прямолинейной нити.
1-й этап. Введем линейную плотность заряда нити. Для этого на заряженной нити выбираем элемент длины dl, содержащий заряд dq, и рассчитаем τ по формуле
.
Для равномерно заряженной нити во всех ее точках τ будет одинаковой (τ = const), поэтому поле такой нити обладает осевой симметрией: линии
представляют собой прямые, выходящие из нити и лежащие в плоскостях, перпендикулярных к ней (рис. 7.5а).
|
На одинаковых расстояниях от нити, то есть на цилиндрических поверхностях, модуль
будет одинаковым.
2-й этап. Выбираем замкнутую поверхность в виде цилиндра, имеющего высоту H и радиус r, ось цилиндра совпадает с нитью. Поток Ф Е через основания цилиндра равен нулю (α=900), поэтому остается поток только через боковую поверхность:

3-й этап. Рассчитаем заряд отрезка нити длины H, попадающий внутрь цилиндра:

4-й этап. Применяем теорему Гаусса для расчета модуля вектора
:
(7.8)
Формула (7.8) позволяет оценить разность потенциалов между двумя точками, находящимися на расстояниях r 1 и r 2 от нити (рис. 7.5а):
(7.9)