Сложение взаимно перпендикулярных колебаний

Допустим, что м. т. может совершать колебания как вдоль оси х, так и вдоль перпендикулярной к ней оси у. Если возбудить оба колебания, м. т. будет двигаться по некоторой, вообще говоря, криволинейной траектории, форма которой зависит от разности фаз обоих колебаний. Выберем начало отсчета времени так, чтобы начальная фаза первого колебания была равна нулю. Тогда уравнения колебаний запишутся следующим образом:

, (11.16)

где ∆φ – разность фаз обоих колебаний.

Чтобы получить уравнение траектории движения в обычном виде, нужно исключить из уравнений (11.16) параметр t. Из первого уравнения следует, что

cosωt= x / A 1.

Следовательно,

.

Теперь преобразуем второе уравнение (11.16). В результате получим

.

Последнее уравнение после несложных преобразований можно привести к виду

. (11.17)

Последнее уравнение является уравнением эллипса, оси которого повернуты относительно координатных осей х и у.

Определим траекторию движения для некоторых частных случаев.

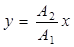
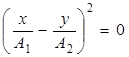
1. ∆φ = 0. В этом случае уравнение (11.17) принимает вид

,

Откуда получается уравнение прямой

.

Рис. 11.5.
Результирующее движение является гармоническим колебанием вдоль прямой с частотой ω и амплитудой, равной (рис. 11.5а).

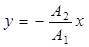
2. ∆φ = ± π. Уравнение (11.17) имеет вид

,

Откуда получается, что результирующее движение представляет собой гармоническое колебание вдоль прямой (рис.11.5б)

.

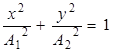
3. При ∆φ = ± π/2 уравнение (11.17) переходит в

,

т. е. в уравнение эллипса, приведенного к координатным осям (рис.11.5в).

Если частоты взаимно перпендикулярных колебаний не одинаковы и отношение частот число рациональное, то траектория результирующего движения имеет вид довольно сложных замкнутых кривых, называемых фигурами Лиссажу.

Лекция 12





Подборка статей по вашей теме: