Если материальная точка участвует одновременно в двух гармонических колебаниях с одинаковой циклической частотой, то происходит сложение гармонических колебаний. Рассмотрим несколько наиболее простых случаев сложения гармонических колебаний.
1. Круговые частоты и фазы колебаний одинаковы, амплитуды различны: x1=A1sinφ, x2=A2sinφ
тогда x1 + x2 = (A1 + A2)sinφ = Asinφ
2. Круговые частоты и амплитуды одинаковы, фазы различны: x1=A?sinφ, x2=A?sinφ
где φ — разность фаз. Тогда

В результате возникает гармоническое колебание такой же частоты, но отличающееся по фазе от первичных колебаний на половину разности фаз этих колебаний. Амплитуда меньше суммы амплитуд первичных колебаний.
3. Амплитуды одинаковы, круговые частоты мало отличаются друг от друга: x1=A?sinφ, x2=A?sinφ, тогда результирующее колебание оказывается не гармоническим, так как оно не соответствует уравнению x = Asinφ
16. Сложение колебаний разных частот, происходящих вдоль одной прямой.
Сложим тепеpь однонапpавленные колебания одинаковой амплитуды, одинаковых фаз, но pазной частоты.
(4.47)
Рассмотpим случай, когда частоты близки дpуг к дpугу, т. е.w1~w2=w
Тогда пpиближенно будем считать, что (w1+w2)/2= w, а (w2-w1)/2 величина малая. Уpавнение pезультиpующего колебания будет иметь вид:
(4.48)
Его гpафик изобpажен на pис. 4.5 Такое колебание называется биением. Оно осуществляется с частотой w но его
амплитуда совеpшает колебание с большим пеpиодом.
17. Сложение перпендикулярных колебаний. Фигуры Лиссажу.
Сложение двух взаимно пеpпендикуляpных колебаний. Допустим, что одно колебание осуществляется вдоль оси х, дpугое - вдоль оси y. Результиpующее движение, очевидно, pасполагается в плоскости xy.
1. Допустим, что частоты колебаний и фазы одинаковы, а амплитуды pазличны.
(4.49)
Чтобы найти тpаектоpию pезультиpующего движения, нужно из уpавнений (4.49) исключить вpемя. Для этого достаточно поделить почленно одно уpавнение на другое, в pезультате чего получим
(4.50)
Уpавнение (4.50) показывает, что в данном случае сложение колебаний пpиводит к колебанию по пpямой линии, тангенс угла наклона котоpой опpеделяется отношением амплитуд.
Фигуры Лиссажу — это траектория результирующих колебаний от колебаний происходящих в разных направлениях.
Фигу́ры Лиссажу́ — замкнутые траектории, прочерчиваемые точкой, совершающей одновременно два гармонических колебания в двух взаимно перпендикулярных направлениях. Впервые изучены французским учёным Жюлем Антуаном Лиссажу. Вид фигур зависит от соотношения между периодами (частотами), фазами и амплитудами обоих колебаний. В простейшем случае равенства обоих периодов фигуры представляют собой эллипсы, которые при разности фаз 0 или
вырождаются в отрезки прямых, а при разности фаз
и равенстве амплитуд превращаются в окружность. Если периоды обоих колебаний неточно совпадают, то разность фаз всё время меняется, вследствие чего эллипс всё время деформируется. При существенно различных периодах фигуры Лиссажу не наблюдаются. Однако, если периоды относятся как целые числа, то через промежуток времени, равный наименьшему кратному обоих периодов, движущаяся точка снова возвращается в то же положение — получаются фигуры Лиссажу более сложной формы. Фигуры Лиссажу вписываются в прямоугольник, центр которого совпадает с началом координат, а стороны параллельны осям координат и расположены по обе стороны от них на расстояниях, равных амплитудам колебаний.
18. Неинерциальные системы отсчета. Описание движения в неинерциальных системах. Силы инерции. Центробежная сила. Сила Кориолиса.
Неинерциа́льная систе́ма отсчёта — система отсчёта, в которой не выполняется первый закон Ньютона — «закон инерции», говорящий о том, что каждое тело, в отсутствие действующих на него сил, покоится либо движется по прямой и с постоянной скоростью. Всякая система отсчета, движущаяся с ускорением или поворачивающаяся относительно инерциальной, является неинерциальной. Второй закон Ньютона также не выполняется в неинерциальных системах отсчёта. Для того, чтобы уравнение движения материальной точки в неинерциальной системе отсчёта по форме совпадало с уравнением второго закона Ньютона, дополнительно к «обычным» силам, действующим в инерциальных системах, вводят силы инерции.
Законы Ньютона выполняются только в инерциальных системах отсчёта. Для того, чтобы найти уравнение движения в неинерциальной системе отсчёта, нужно знать законы преобразования сил и ускорений при переходе от инерциальной системы к любой неинерциальной.
Си́ла ине́рции (также инерционная сила) — многозначное понятие, применяемое в механике по отношению к трём различным физическим величинам. Одна из них — «даламберова сила инерции» — вводится в инерциальных системах отсчёта для получения формальной возможности записи уравнений динамики в виде более простых уравнений статики. Другая — «эйлерова сила инерции» — используется при рассмотрении движения тел в неинерциальных системах отсчёта. Наконец, третья — «Ньютонова сила инерции» — сила противодействия, рассматриваемая в связи с третьим законом Ньютона
Центробе́жная си́ла [1] — составляющая фиктивных сил инерции, которую вводят при переходе из инерциальной системы отсчёта в соответствующим образом вращающуюся неинерциальную. Это позволяет в полученной неинерциальной системе отсчёта продолжать применять законы Ньютона для расчёта ускорения тел через баланс сил.
Си́ла Кориоли́са — одна из сил инерции, существующая в неинерциальной системе отсчёта из-за вращения и законов инерции, проявляющаяся при движении в направлении под углом к оси вращения.
19. Постулаты специальной теории относительности и следствия из них.
Классическая механика Ньютона прекрасно описывает движение макротел, движущихся с малыми скоростями (υ << c). В нерелятивистской физике принималось как очевидный факт существование единого мирового времени t, одинакового во всех системах отсчета. В основе классической механики лежит механический принцип относительности (или принцип относительности Галилея): законы динамики одинаковы во всех инерциальных системах отсчета. Этот принцип означает, что законы динамики инвариантны (то есть неизменны) относительно преобразований Галилея, которые позволяют вычислить координаты движущегося тела в одной инерциальной системе (K), если заданы координаты этого тела в другой инерциальной системе (K'). В частном случае, когда система K' движется со скоростью υ вдоль положительного направления оси x системы K (рис. 7.1.1), преобразования Галилея имеют вид:
|
В основе специальной теории относительности лежат два принципа или постулата, сформулированные Эйнштейном в 1905 г.
1. Принцип относительности: все законы природы инвариантны по отношению к переходу от одной инерциальной системы отсчета к другой. Это означает, что во всех инерциальных системах физические законы (не только механические) имеют одинаковую форму. Таким образом, принцип относительности классической механики обобщается на все процессы природы, в том числе и на электромагнитные. Этот обобщенный принцип называют принципом относительности Эйнштейна.
2. Принцип постоянства скорости света: скорость света в вакууме не зависит от скорости движения источника света или наблюдателя и одинакова во всех инерциальных системах отсчета. Скорость света в СТО занимает особое положение. Это предельная скорость передачи взаимодействий и сигналов из одной точки пространства в другую.
20. Электромагнитное взаимодействие. Роль системы отсчета. Закон Кулона.
Электромагни́тное взаимоде́йствие — одно из четырёх фундаментальных взаимодействий. Электромагнитное взаимодействие существует между частицами, обладающими электрическим зарядом[1]. С современной точки зрения электромагнитное взаимодействие между заряженными частицами осуществляется не прямо, а только посредством электромагнитного поля.
С точки зрения квантовой теории поля электромагнитное взаимодействие переносится безмассовым бозоном — фотоном (частицей, которую можно представить как квантовое возбуждение электромагнитного поля). Сам фотон электрическим зарядом не обладает, а значит, не может непосредственно взаимодействовать с другими фотонами.
Роль системы отсчета: для определения положения движущегося тела в любой момент времени, вида движения того тела, его скорости и т. п. необходимы три вещи: прибор для отсчета времени, тело отсчета и связанная с ним система координат. Система координат, тело отсчета и прибор для измерения времени образуют систему отсчета.
Зако́н Куло́на — это закон, описывающий силы взаимодействия между неподвижными точечными электрическими зарядами: Сила взаимодействия двух точечных зарядов в вакууме направлена вдоль прямой, соединяющей эти заряды, пропорциональна их величинам и обратно пропорциональна квадрату расстояния между ними. Она является силой притяжения, если знаки зарядов разные, и силой отталкивания, если эти знаки одинаковы.
21. Напряженность электростатического поля. Напряженность поля точечного заряда. Принцип суперпозиции.
Напряженность электростатического поля в данной точке есть физическая величина, определяемая силой, которая действует на пробный единичный положительный заряд, помещенный в эту точку поля:
(1)
Как следует из формулы (1) и закона Кулона, напряженность поля точечного заряда в вакууме
или
(2)
Напряженность поля точечного заряда
Обозначим:q - заряд, создающий поле, q0 - заряд, помещенный в поле (внешний заряд). Закон Кулона: . Напряженность поля: . Тогда напряженность поля точечного заряда: | |
При́нцип суперпози́ции — один из самых общих законов во многих разделах физики. В самой простой формулировке принцип суперпозиции гласит:
· результат воздействия на частицу нескольких внешних сил есть векторная сумма воздействия этих сил.
· Любое сложное движение можно разделить на два и более простых.
Наиболее известен принцип суперпозиции в электростатике, в которой он утверждает, что напряженность электростатического поля, создаваемого в данной точке системой зарядов, есть сумма напряженностей полей отдельных зарядов.
22. Теорема Гаусса-Остроградского, ее применение для расчета полей.
Теорема Гаусса (закон Гаусса) — один из основных законов электродинамики, входит в систему уравнений Максвелла. Выражает связь (а именно равенство с точностью до постоянного коэффициента) между потоком напряжённости электрического поля сквозь замкнутую поверхность и зарядом в объёме, ограниченном этой поверхностью. Применяется отдельно для вычисления электростатических полей.
Являясь (вкупе с уравнением о нулевой циркуляции электрического поля) основным полевым уравнением электростатики (вместе эти два уравнения в дифференциальной форме эквивалентны уравнению Пуассона — основному и единственному дифференциальному уравнению классической теории для электростатического потенциала).
В электродинамике теорема Гаусса (закон Гаусса) также остается (полностью в том же виде) одним из главных уравнений — одним из четырех уравнений Максвелла.
В некоторых ситуациях теорема Гаусса может быть использована для прямого и легкого вычисления электростатического поля непосредственно. Это ситуации, когда симметрия задачи позволяет наложить на напряжённость электрического поля такие дополнительные условия, что вместе с теоремой Гаусса этого хватает для прямого элементарного вычисления (без применения двух обычных общих способов — решения уравнения в частных производных или лобового интегрирования кулоновских полей для элементарных точечных зарядов).
23. Потенциал электростатического поля. Потенциал поля точечного заряда. Потенциал поля системы точечных зарядов.
Электростатический потенциа́л (кулоновский потенциал) —скалярная энергетическая характеристикаэлектростатического поля, характеризующая потенциальную энергию, которой обладает единичный положительный пробный заряд, помещённый в данную точку поля. Единицей измерения потенциала в Международной системе единиц (СИ) является вольт (русское обозначение: В; международное: V), 1 В = 1 Дж/Кл.
Электростатический потенциал — специальный термин для возможной замены общего термина электродинамики скалярный потенциал в частном случае электростатики (исторически электростатический потенциал появился первым, а скалярный потенциал электродинамики — его обобщение). Употребление термина электростатический потенциал определяет собой наличие именно электростатического контекста. Если такой контекст уже очевиден, часто говорят просто о потенциале без уточняющих прилагательных.
Электростатический потенциал равен отношению потенциальной энергии взаимодействия заряда с полем к величине этого заряда:

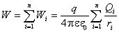
Потенциал – скалярная величина, и если взять несколько точечных зарядов, то потенциал любой точки поля можно определить как сумму потенциалов, создаваемых каждым из зарядов:
|
Потенциал системы точечных зарядов.По принципу суперпозиции полей потенциал системы точечных зарядов равен алгебраической сумме потенциалов полей, создаваемых в данной точке каждым зарядом в отдельности. Это очевидно, так как:
Е = Е1 + Е2 = – grad1 – grad2 = – grad (1 + 2).
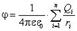
Следовательно, потенциал 0 поля, создаваемого системой точечных зарядов qi, равен
0(r) =
, (7.3)
где ri – длина радиус-вектора, проведенного от i-го заряда к точке поля с координатами r{x,y,z}.
ЕЩЕ
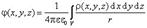
Потенциальная энергия заряда в электрическом поле.Работу, совершаемую силами электрического поля при перемещении положительного точечного заряда q из положения 1 в положение 2, представим как изменение потенциальной энергии этого заряда: , где W п1 и W п2 – потенциальные энергии заряда q в положениях 1 и 2. При малом перемещении заряда q в поле, создаваемом положительным точечным зарядом Q, изменение потенциальной энергии равно . При конечном перемещении заряда q из положения 1 в положение 2, находящиеся на расстояниях r 1 и r 2 от заряда Q, . Если поле создано системой точечных зарядов Q 1, Q 2,¼, Q n, то изменение потенциальной энергии заряда q в этом поле: . Приведённые формулы позволяют найти только изменение потенциальной энергии точечного заряда q, а не саму потенциальную энергию. Для определения потенциальной энергии необходимо условиться, в какой точке поля считать ее равной нулю. Для потенциальной энергии точечного заряда q, находящегося в электрическом поле, созданном другим точечным зарядом Q, получим , где C – произвольная постоянная. Пусть потенциальная энергия равна нулю на бесконечно большом расстоянии от заряда Q (при r ® ¥), тогда постоянная C = 0 и предыдущее выражение принимает вид . При этом потенциальная энергия определяется как работа перемещения заряда силами поля из данной точки в бесконечно удаленную. В случае электрического поля, создаваемого системой точечных зарядов, потенциальная энергия заряда q: . Потенциальная энергия системы точечных зарядов.В случае электростатического поля потенциальная энергия служит мерой взаимодействия зарядов. Пусть в пространстве существует система точечных зарядов Qi (i = 1, 2,..., n). Энергиявзаимодействия всех n зарядов определится соотношением , где rij - расстояние между соответствующими зарядами, а суммирование производится таким образом, чтобы взаимодействие между каждой парой зарядов учитывалось один раз. Потенциал электростатического поля.Поле консервативной силы может быть описано не только векторной функцией, но эквивалентное описание этого поля можно получить, определив в каждой его точке подходящую скалярную величину. Для электростатического поля такой величиной является потенциал электростатического поля, определяемый как отношение потенциальной энергии пробного заряда q к величине этого заряда, j = W п / q, откуда следует, что потенциал численно равен потенциальной энергии, которой обладает в данной точке поля единичный положительный заряд. Единицей измерения потенциала служит Вольт (1 В). Потенциал поля точечного заряда Q в однородной изотропной среде с диэлектрической проницаемостью e: . Принцип суперпозиции.Потенциал есть скалярная функция, для неё справедлив принцип суперпозиции. Так для потенциала поля системы точечных зарядов Q 1, Q 2¼, Qn имеем , где ri - расстояние от точки поля, обладающей потенциалом j, до заряда Qi. Если заряд произвольным образом распределен в пространстве, то , где r - расстояние от элементарного объема d x, d y, d z до точки (x, y, z), где определяется потенциал; V - объем пространства, в котором распределен заряд. Потенциал и работа сил электрического поля.Основываясь на определении потенциала, можно показать, что работа сил электрического поля при перемещении точечного заряда q из одной точки поля в другую равна произведению величины этого заряда на разность потенциалов в начальной и конечной точках пути, A = q (j1 - j2). Если по аналогии с потенциальной энергией считать, что в точках, бесконечно удалённых от электрических зарядов - источников поля, потенциал равен нулю, то работу сил электрического поля при перемещении заряда q из точки 1 в бесконечность можно представить как A ¥= q j1. Таким образом, потенциал â данной точке электростатического поля - это физическая величина, численно равная работе, совершаемой силами электрического поля при перемещении единичного положительного точечного заряда из данной точки поля в бесконечно удаленную: j = A ¥/ q. В некоторых случаях потенциал электрического поля нагляднее определяется как физическая величина, численно равная работе внешних сил против сил электрического поля при перемещении единичного положительного точечного заряда из бесконечности в данную точку. Последнее определение удобно записать следующим образом: . В современной науке и технике, особенно при описании явлений, происходящих в микромире, часто используется единица работы и энергии, называемая электрон-вольтом (эВ). Это работа, совершаемая при перемещении заряда, равного заряду электрона, между двумя точками с разностью потенциалов 1 В: 1 эВ = 1,60×10-19 Кл×1 В = 1,60×10-19 Дж. | |
24. Связь между напряженностью и потенциалом.
Разные пробные заряды q',q'',… будут обладать в одной и той же точке поля разными энергиями W', W'' и так далее. Однако отношение
будет для всех зарядов одним и тем же. Поэтому можно вести скалярную величину, являющуюся энергетической характеристикой собственно поля – потенциал:
| (3.3.1) |
Из этого выражения следует, что потенциал численно равен потенциальной энергии, которой обладает в данной точке поля единичный положительный заряд.
Подставив в (3.3.1.) значение потенциальной энергии (3.2.4), получим для потенциала точечного заряда следующее выражение:
| (3.3.2) |
Потенциал, как и потенциальная энергия, определяют с точностью до постоянной интегрирования. Поскольку физический смысл имеет не потенциал, а разность потенциалов, поэтому договорились считать, что потенциал точки, удаленной в бесконечность, равен нулю. Когда говорят «потенциал такой-то точки» – имеют в виду разность потенциалов между этой точкой и точкой, удаленной в бесконечность. Другое определение потенциала:
,
т.е. потенциал численно равен работе, которую совершают силы поля над единичным положительным зарядом при удалении его из данной точки в бесконечность (илинаоборот – такую же работу нужно совершить, чтобы переместить единичный положительный заряд из бесконечности в данную точку поля). При этом
, если q > 0.
Если поле создается системой зарядов, то, используя принцип суперпозиции, получаем:
| (3.3.3) |
Тогда и для потенциала
или<
, | (3.3.4) |
т.е. потенциал поля, создаваемый системой зарядов, равен алгебраической сумме потенциалов, создаваемых каждым из зарядов в отдельности <. А вот напряженности складываются при наложении полей – векторно. По этой причине потенциалы полей считать проще, чем напряженности.
Вернемся к работе сил электростатического поля над зарядом q. Выразим работу через разность потенциалов между начальной и конечной точками:
| (3.3.5) |
Таким образом, работа над зарядом q равна произведению заряда на убыль потенциала. То есть

| (3.3.6) |
где U – напряжение.
(Между прочим, хорошая аналогия с гравитационным полем:
,
здесь gh – имеет смысл потенциала, а m – заряда гравитационного поля).
Итак, потенциал – скалярная величина, поэтому пользоваться и вычислять φ проще, чем
. Приборы для измерения разности потенциалов широко распространены.
Формулу
можно использовать для установления единиц потенциала: за единицу φ принимают потенциал в такой точке поля, для перемещения в которую из бесконечности единичного положительного заряда необходимо совершить работу равную единице.
В СИ – единица потенциала
.
В физике часто используется единица энергии и работы, называемая электрон - вольт (эВ) – это работа, совершенная силами поля над зарядом, равным заряду электрона при прохождении им разности потенциалов 1 В, то есть:

25. Проводники в электрическом поле. Электростатическая индукция.
Проводниками называют материалы, имеющие так называемые свободные заряды, которые могут перемещаться в объеме проводника под действием сколь угодно малого внешнего электрического поля.
Типичным примером проводников являются металлы, атомы которых при формировании кристалла решетки отдают в коллективное использование 1-3
-в с внешних оболочек. Эти электроны, несмотря на то, что находятся в потенциальной яме объема проводника, весьма слабо связаны с атомом, то есть имеют большую подвижность (связь каждого электрона одновременно принадлежит всем атомам, что и обеспечивает их высокую подвижность).
При помещении проводников во внешнее электрическое поле, свободные заряды начинают перемещаться в этом поле, если в объем проводника был дополнительно внесен некоторый заряд, то под действием этого внешнего поля, этот дополнительный заряд распределиться по поверхности проводника.
Таким образом, при электризации проводника сообщенный ему дополнительный заряд оказывается, распределен в области поверхности проводника. Это распределение заряда будет происходить до тех пор, пока при распределении заряда потенциал поля в любой точке проводника не станет одинаковым.
(18.1)
Электростатическая индукция — явление наведения собственного электростатического поля, при действии на тело внешнего электрического поля. Явление обусловлено перераспределением зарядов внутри проводящих тел, а также поляризацией внутренних микроструктур у непроводящих тел. Внешнее электрическое поле может значительно исказиться вблизи тела с индуцированным электрическим полем.
26. Электроемкость проводников. Конденсаторы. Примеры расчета емкости конденсатора (плоский, сферический, цилиндрический конденсаторы).
Электроемкость проводников - это физическая величина, характеризующая способность проводника или системы проводников накапливать электрические заряды.
Единица электроемкости - фарад (Ф).
Сообщенный проводнику заряд Q распределяется по его поверхности так, что напряженность поля внутри проводника равна нулю. Если проводнику сообщить такой же заряд Q, то он распределится по поверхности проводника. Отсюда следует, что потенциал проводника пропорционален находящемуся на нем заряду (Q = Cfi).
Электроемкость проводников равна С = Q/fi.
Конденсатор – это два проводника, называемые обкладками, расположенные близко друг к другу.
Конструкция такова, что внешние, окружающие конденсатор тела, не оказывают влияние на его электроемкость. Это будет выполняться, если электростатическое поле будет сосредоточено внутри конденсатора, между обкладками.
Конденсаторы бывают плоские, цилиндрические и сферические.
. Напряженность поля:
. Тогда напряженность поля точечного заряда:
, где W п1 и W п2 – потенциальные энергии заряда q в положениях 1 и 2. При малом перемещении заряда q в поле, создаваемом положительным точечным зарядом Q, изменение потенциальной энергии равно
. При конечном перемещении заряда q из положения 1 в положение 2, находящиеся на расстояниях r 1 и r 2 от заряда Q,
. Если поле создано системой точечных зарядов Q 1, Q 2,¼, Q n, то изменение потенциальной энергии заряда q в этом поле:
. Приведённые формулы позволяют найти только изменение потенциальной энергии точечного заряда q, а не саму потенциальную энергию. Для определения потенциальной энергии необходимо условиться, в какой точке поля считать ее равной нулю. Для потенциальной энергии точечного заряда q, находящегося в электрическом поле, созданном другим точечным зарядом Q, получим
, где C – произвольная постоянная. Пусть
. При этом потенциальная энергия определяется как работа перемещения заряда силами поля из данной точки в бесконечно удаленную. В случае электрического поля, создаваемого системой точечных зарядов, потенциальная энергия заряда q:
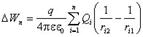
. Потенциальная энергия системы точечных зарядов.В случае электростатического поля потенциальная энергия служит мерой взаимодействия зарядов. Пусть в пространстве существует система точечных зарядов Qi (i = 1, 2,..., n). Энергиявзаимодействия всех n зарядов определится соотношением
, где rij - расстояние между соответствующими зарядами, а суммирование производится таким образом, чтобы взаимодействие между каждой парой зарядов учитывалось один раз. Потенциал электростатического поля.Поле консервативной силы может быть описано не только векторной функцией, но эквивалентное описание этого поля можно получить, определив в каждой его точке подходящую скалярную величину. Для электростатического поля такой величиной является потенциал электростатического поля, определяемый как отношение потенциальной энергии пробного заряда q к величине этого заряда, j = W п / q, откуда следует, что потенциал численно равен потенциальной энергии, которой обладает в данной точке поля единичный
.
, где ri - расстояние от точки поля, обладающей потенциалом j, до заряда Qi. Если заряд произвольным образом распределен в пространстве, то
, где r - расстояние от элементарного объема d x, d y, d z до точки (x, y, z), где определяется потенциал; V - объем пространства, в котором распределен заряд. Потенциал и
. В современной науке и технике, особенно при описании явлений, происходящих в микромире, часто используется единица работы и энергии, называемая электрон-вольтом (эВ). Это работа, совершаемая при перемещении заряда, равного заряду электрона, между двумя точками с разностью потенциалов 1 В: 1 эВ = 1,60×10-19 Кл×1 В = 1,60×10-19 Дж.
,