Таблица 3.6
| № пп | 1 2 3 4 5 6 7 8 9 10 |
| ТЕМА №1 (баллы) | 4,6 4,6 4,7 4,8 4,8 4,8 4,9 4,9 4,9 5,0 |
| ТЕМА №2 (баллы) | 12,4 12,7 13,0 13,3 13,1 13,2 13,5 13,5 13,6 13,7 |
Решение. Представим данные таблицы 3.6 в графической форме (рис. 3.14). Будем считать одну из величин зависимой, а другую - независимой. Результаты изучения ТЕМЫ № 2 (yi) при фиксированных значениях результатов изучения ТЕМЫ № 1 (xi) образовали на координатной плоскости график, анализ которого показывает, что в качестве первого приближения можно предположить, что в среднем результат изучения ТЕМЫ №2 линейно зависит от результатов изучения ТЕМЫ №1 (т.е. принимаем модель простой линейной регрессии).
Найдем значения коэффициента регрессии (b) и свободного члена уравнения регрессии (a). По данным таблицы 3.6 находим значения промежуточных сумм (см. таблицу 3.7):
= 48,0;
=132,0;
=1743,94;
= 230,56;
= 634,08. Затем определяем значения средних арифметических:` x =4,8, ` y =13,2.
Тогда коэффициент регрессии b =
» 3,0, свободный член уравнения регрессии a = 13,2 - 3,0·4,8 = - 1,2. Таким образом, уравнение регрессии имеет вид: y = -3,0 x – 1,2. Прямая, построенная по этому уравнению, показана на рис. 3.14.
|
|
|
Ответ: y = -3,0 x – 1,2.

Эмпирическая линия регрессии изучения тем №1 и №2
Рис. 3.14
Полученное в примере 3.16 эмпирическое уравнение регрессии можно использовать для прогнозирования результатов изучения ТЕМЫ №2 по результатам изучения ТЕМЫ №1. Например, если в группе школьников, которая участвовала в эксперименте, будет показан результат 5,2 балла при изучении ТЕМЫ №1, то можно ожидать, что результат изучения ТЕМЫ №2 будет: 3,0·5,2 – 1,2 = 14,4 (баллов). И это будет наилучшим прогнозом, который можно сделать, используя модель линейной регрессии.
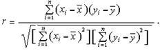
Корреляционный анализ состоит в определении степени связи между двумя случайными величинами X и Y. В качестве меры связи используется коэффициент корреляции. Коэффициент корреляции оценивается по выборке объема n связанных пар наблюдений (xi, yi) из совместной генеральной совокупности X и Y.
Существует несколько типов коэффициентов корреляции, применение которых зависит от предположений о совместном распределении величин X и Y. В предположении о двумерном нормальном распределении генеральной совокупности, из которой получены экспериментальные данные пользуются коэффициентом корреляции Браве-Пирсона, который вычисляется по формуле:
![]() |
Для практических расчетов удобна следующая формула коэффициента корреляции Браве-Пирсона:
![]() |
(3.7)
Модель двумерного нормального распределения позволяет дать наглядную графическую интерпретацию коэффициента корреляции.
Если r = 0, то значения xi, yi полученные из двумерной нормальной совокупности, располагаются на графике в координатах x, y в пределах области, ограниченной окружностью (рис. 3.15, а). В этом случае между случайными величинами X и Y отсутствует корреляция и они называются некоррелированными. Для двумерного нормального распределения некоррелированность означает одновременно и независимость случайных величин X и Y.
|
|
|
Если r = 1 или r = -1, то между случайными величинами X и Y существует линейная функциональная зависимость (Y = bX + a). В этом случае говорят о полной корреляции. При r = 1 значения xi, yi определяют точки, лежащие на прямой линии, имеющей положительный наклон (с увеличением xi значения yi также увеличиваются), при r = -1 прямая имеет отрицательный наклон (рис. 3.15, б).
Таким образом, коэффициент корреляции является мерой линейной связи между случайными величинами.
![]() |
а) б)
![]() |
в) г)
Геометрическая интерпретация коэффициента корреляции
Рис. 3.15
В промежуточных случаях (-1< r <1) точки, соответствующие значениям xi, yi, попадают в область, ограниченную некоторым эллипсом (рис. 3.15, в, г), причем при r >0 имеет место положительная корреляция (с увеличением xi значения yi имеют тенденцию к возрастанию), при r <0 корреляция отрицательная. Чем ближе r к ±1, тем уже эллипс и тем теснее экспериментальные значения группируются около прямой линии.
Пример 3.17. Вычислить коэффициент корреляции для распределений, заданных в таблице 3.6.
Решение. Вычислим значения промежуточных сумм, входящих в формулу (3.7):
=48,0;
=132,0;
=230,56;
=1743,94;
=634,08. Промежуточные расчеты приведены в столбцах 2 - 6 таблицы 3.7.










