Расчет коэффициента корреляции
Таблица 3.7
| № п/п | xi | yi | xi 2 | yi 2 | xiyi |
| 4,6 4,6 4,7 4,8 4,8 4,8 4,9 4,9 4,9 5,0 | 12,4 12,7 13,0 13,3 13,1 13,2 13,5 13,5 13,6 13,7 | 21,16 21,16 22,09 23,04 23,04 23,04 24,01 24,01 24,01 25,00 | 159,76 161,29 169,00 176,89 171,61 174,24 182,25 182,25 184,96 187,69 | 57,04 58,42 61,10 63,84 62,88 63,66 66,15 66,15 66,64 68,50 | |
| Сумма | 48,0 | 132,0 | 230,56 | 1743,94 | 634,08 |
По формуле (3.7) вычисляем коэффициент корреляции:
r =
» 0,967.
Такое значение коэффициента корреляции свидетельствует о наличии сильной положительной корреляции между полученными результатами.
Ответ: 0,967.
Статистической гипотезой (или просто гипотезой) называется утверждение о распределении генеральной совокупности, соответствующее некоторым представлениям об изучаемом явлении. В частном случае это может быть утверждение о значениях параметров (a и s) нормально распределенной генеральной совокупности.
Предположим, что в эксперименте участвуют две группы школьников. Одна из них (контрольная) обучается по традиционной программе, а для второй (экспериментальной) используется новые специальные методики обучения. Действенность новых методик оценивается по различию результатов, показанных в этих группах после определенного периода обучения. Например, по полученным данным можно проверить справедливость следующих утверждений (гипотез):
|
|
|
1. Среднее значение результатов не изменилось, т.е. a 1 = a 2, где a 1 и a 2 - средние значения соответствующих генеральных совокупностей (результатов школьников, которые обучавшихся по традиционной (a 1) и новой (a 2) программам).
2. Вариативность результатов возросла: s2 > s1. Здесь s1 и s2 – значения стандартных отклонений соответствующих генеральных совокупностей.
3. Средний результат возрос на 0,3 балла: a 2 - a 1 = 0,3.
Гипотезы проверяют с помощью определенного метода, который принято называть критерием. При этом обычно рассматривают две генеральные совокупности, одна из которых может представлять собой теоретическую модель (например, нормальное распределение), а о второй судят по выборке из нее. В других случаях обе генеральные совокупности представлены выборками.
Первоначально гипотезу всегда можно сформулировать таким образом: между двумя генеральными совокупностями нет ожидаемого различия. Такая гипотеза называется нулевой гипотезой, или нуль-гипотезой. Обратное ей утверждение о том, что в действительности между генеральными совокупностями есть различия, называется альтернативной гипотезой, или альтернативой. Нулевую гипотезу принято обозначать, как H 0, а альтернативную - H 1. Пусть, например, оценивается эффективность новой методики обучения по среднему значению результата в контрольной и экспериментальной группах. Тогда нулевую гипотезу H 0 можно сформулировать так: среднее значение результатов не изменилось, т.е. a 1 = a 2. Для краткости это записывается так: H 0: a 1 = a 2. Если заранее нельзя сказать, к какому результату приведет новая методика, то альтернативная гипотеза H 1 будет состоять в том, что среднее значение генеральных совокупностей неодинаковы: H 1: a 1 ¹ a 2.
|
|
|
Ошибки, допускаемые при проверке гипотез, удобно разделить на два типа: 1) отклонение гипотезы H 0, когда она верна, - ошибка первого рода; 2) принятие гипотезы H 0, когда в действительности верна какая-то другая гипотеза, - ошибка второго рода. Вероятность ошибки первого рода обозначается α. Величина α называется уровнем значимости критерия, по которому проверяется справедливость гипотезы H 0.
Любая гипотеза должна формулироваться, а уровень значимости задаваться исследователем всегда до получения экспериментальных данных, по которым эта гипотеза будет проверяться.
При выборе уровня значимости обычно исходят из практических соображений, отвечая на вопрос: какую вероятность ошибки будем считать допустимой для конкретной задачи? Обычно считают достаточным α = 0,05 (5%), иногда α = 0,01, редко α = 0,001.
Если необходимо проверить гипотезу о том, что две независимые выборки получены из генеральных совокупностей X и Y с одинаковыми дисперсиями s х 2 и s y 2, то можно использовать F-критерий Фишера.
Условия применения F -критерия: обе выборки независимы и получены из нормально распределенных генеральных совокупностей с параметрами ax, s x и ay, s y.
Гипотеза H 0: s x 2 = s y 2.
Альтернативна H 1: s x 2 ¹s y 2.
Уровень значимости критерия задается α.
Порядок применения F - критерия следующий:
1. Применяется предположение о нормальности распределения генеральных совокупностей, формулируется гипотеза и альтернатива, назначается уровень значимости α, как указано выше.
2. Получают две независимые выборки из совокупностей Х и Y объемом nx и ny соответственно.
3. Рассчитывается значение дисперсий Dx и Dy. Большую из дисперсий (Dx или Dy) обозначают S 1, меньшую - S 2.
4. Вычисляется значение F - критерия по формуле:
F =
. (3.8)
5. Сравнивается вычисленное значение F с критическим значением F-критерия при заданном уровне значимости α и числе степеней свободы t 1 = n 1-1 и t 2 = n 2-1. Критические значения F при уровнях значимости α, равных 0,05, 0,01, 0,001 приведены в таблице 5 Приложения.
Отметим, если цель исследования доказать, что одна дисперсия больше другой (H 1: s12 > s22), то критические значения берутся непосредственно из этой таблицы. Если же рассматривается гипотеза H 1: s12 ¹ s22), то критические значения, взятые из таблицы 5 Приложения, соответствуют удвоенным уровням значимости: 0,01, 0,02 и 0,002.
6. Делается вывод: если вычисленное значение F -критерия больше или равно критическому, то дисперсии различаются значимо на заданном уровне значимости. В противном случае нет оснований для отклонения нулевой гипотезы о равенстве двух дисперсий.
Пример 3.18. Одна группа школьников (n 1=21) третьих классов взята из обычной школы, а другая (n 2=11) - из школы со специальной математической подготовкой. В обеих группах известны результаты тестирования по изученным темам. Предстоит проверить утверждение о том, что по вариативности результатов школьники при обеих системах подготовки не отличаются.
Решение. Действуем в порядке, указанном выше.
1. Гипотеза H 0: s x 2 =s y 2, альтернатива H 1: s x 2 ¹ s y 2 (поскольку заранее не уверены в том, что какая-либо из генеральных дисперсий больше другой). Задаем уровнем значимости α = 0,02 для того, чтобы воспользоваться данными таблицы 5 Приложения.
Принимаем предположение о нормальности распределения обеих генеральных совокупностей. (Как можно обосновать такое предположение показано в следующем примере).
|
|
|
2-3. Пусть рассчитанные выборочные стандартные отклонения результатов составили: Dx = 10,89, Dy = 2,89. Обозначаем S 1 = Dx = 10,89, S 2 = Dy = 2,89.
4. Вычисляем значение F -критерия по формуле (3.8): F =10,89/2,89 = 3,77.
5. Из таблицы 5 Приложения при α=0,02; t 1 = n 1-1 = 21-1 = 20 и t 2 = n 2 - 1 = 10 находим F 0,02 = 4,4.
6. Вывод: поскольку F < F 0,02, то на уровне значимости α = 0,02 различие дисперсий статистически незначимо, т.е. можно считать, что школьники при обеих системах подготовки не отличаются по признаку вариативности результатов.
Хотя наблюдаемое в эксперименте различие дисперсий и кажется большим, но имеющиеся статистические данные не дают оснований для отклонений гипотезы о том, что для генеральных совокупностей (всех школьников третьих классов обычных школ и школ с углубленной математической подготовкой) дисперсии (а значит, и стандартное отклонение) различаются на уровне значимости 0,02.
При решении целого ряда педагогических задач исследователь всякий раз предполагает, что случайная величина распределена по определенному закону (чаще всего предполагают, что она распределена по нормальному закону распределения). В математической статистике разработаны специальные критерии – критерии согласия, с помощью которых можно оценить вероятность того, что полученная выборка не противоречит сделанному предположению о виде закона распределения случайной величины.
Наиболее распространенным критерием является критерий согласия c2 («хи-квадрат») (критерий Пирсона), с помощью которого устанавливается степень соответствия между статистическим материалом и выдвинутой гипотезой. Согласно критерию Пирсона, проверку гипотезы о характере распределения случайной величины проводят следующим образом:
1. Формулируется гипотеза, выбирается уровень значимости α.
2. Исходный статистический ряд, объем выборки которого n ³40, представляют в виде сгруппированного статистического ряда (k – число интервалов, ni - частоты).
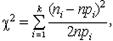
3. Оценивается опытное значение c2 по формуле

(3.10)
где pi - вероятность попадания СВ в i -й интервал, значение которого вычислено для теоретического закона распределения.
|
|
|
4. Оценивается число степеней свободы «t»: t = k – r – 1, где r – число параметров теоретического закона распределения, оцененных по данной выборке.
5. По специальной таблице (таблицу 6 Приложения) определяем критическое значение cα2 хи-квадрат критерия для уровня значимости α и числа степеней свободы t.
6. Ведется проверка условий. Если c2 ³cα2, то отклонения статистического и теоретического законов распределения значимые, т.е. данные опыта противоречат сделанному предположению о виде закона распределения; в противном случае (c2<cα2) отклонения не значимые, т.е. данные опыта не противоречат сделанному предположению о виде закона распределения.
Пример 3.19. В ходе дидактического эксперимента проводился итоговый контроль знаний учащихся по специальному тесту, включающему 20 контрольных вопросов. В эксперименте участвовало 200 учеников. Экспериментальные данные по итоговому контролю знаний представлены в таблице 3.8, где i - номер интервала, xi и xi +1 - границы интервала, ni – число учеников, правильно ответивших на xi * контрольных вопросов, т.е. ni - число учеников, попавших в i -й интервал. Требуется оценить с помощью критерия c2 гипотезу о согласии выборочного распределения при заданном уровне значимости α = 0,05.
Решение.
1. По данным таблицы 3.8, используя формулы (3.2) и (3.5), определяем значения` x и s:` x = 9,72, s=3.81.
2. Вычисляем теоретические вероятности pi правильного ответа на xi * контрольных вопросов по формуле (6.3) (здесь a =` x):
P (xi < xi *< xi +1) =
или
P (xi < xi *< xi +1) = Ф(zi +1) – Ф(zi) при
.
Далее, при расчете значений pi заменяем наименьшую величину zi = z 1, равную z 1 = -2,58 (при x 0=0,` x =9,72, s=3,81) на -¥, а наибольшую величину zi = z 11, равную z 11=2,71 (при x 20=20,` x =9,72 и s = 3,81), на +¥. Значения функции Ф(z) находим по таблице 4 Приложения. Результаты вычислений сводим в таблицу 3.9.