При планировании сложных комплексов взаимосвязанных и взаимообусловленных работ и управления ходом их выполнения применяются 3 вида сетевых моделей:
1) в терминах событий, в которых события изображаются вершинами графа, а дуги показывают взаимосвязь отдельных событий;
2) в терминах работ, в которых работы изображаются вершинами графа, а дуги показывают взаимосвязь отдельных работ;
3) в терминах работ и событий, в которых работы изображаются дугами, а события - вершинами.
По числу завершающих событий сетевые модели делятся на одно- и многоцелевые. Существуют несколько способов (общих правил) построения сетевых графиков:
- от начала к концу (от исходного события к завершающему);
- от середины к концу и началу;
- от конца к началу.
Наиболее распространенный способ – от начала к концу, слева направо. Каждое событие с большим порядковым номером показывается несколько правее события с меньшим порядковым номером. Стрелки могут быть произвольной длины и направления, но обязательно располагаться слева направо. Необходимо по возможности избегать взаимного пересечения стрелок. Для этой цели лучше сместить те или иные события на схеме или нанеси стрелки в виде ломаной линии.
|
|
|
При построении сетевых графиков часто встречаются сложные комплексные связи, когда две или более работ имеют общие начальные и конечные события. Эти работы выполняются параллельно, но продолжительность их разная. В этом случае надо показать взаимосвязь работ, вводя дополнительное событие
и фиктивную работу (3,4), так как любая работа соединяется только с двумя событиями.



Если для выполнения одной из работ, например (5, 6), необходимо выполнить несколько иных работ (2, 5), (3, 5), (4, 5), а для другой (5, 7), выходящей из общего для них события 5, предварительным условием является выполнение только одной из предыдущих работ (4, 5), то следует ввести в сеть дополнительное событие
и фиктивную работу (
, 5).
|
|
Для отображения в проекте плана разработки времени и место дополнительных материальных, финансовых и людских ресурсов, на сетевых графиках вводят «подставки», которые обозначаются двойным кружком с нулем:

Организационные связи наносят пунктирными стрелками с пометками (орг. связи). Двусторонние связи изображаются введением фиктивных работ. Иногда целесообразно укрупнять работы путем замены их совокупности одной агрегатной, если какая-то группа имеет одно начальное и одно конечное событие:
|
После построения сетевого графика следует выяснить:
1) нет ли на графике работ, имеющих одинаковые коды. Если они есть, то следует ввести дополнительные события и фиктивные работы;
|
|
|
2) в сети не должно быть «тупиков», т.е. событий, из которых не выходит ни одна работа (кроме последнего);
3) в сети не должно быть событий (кроме начального), которым не предшествует хотя бы одна работа;
4) не допускается, чтобы два смежных события были связаны двумя или большим количеством работ;
5) в сети не должно быть замкнутых контуров;
6) если какие-либо работы могут быть начаты до полного окончания непосредственно предшествующей им, то последняя должна быть отражена как ряд последовательно выполненных работ, каждая из которых завершается определенным событием;
7) правильность изображения дифференциально-зависимых работ.
Сетевые графики можно составлять по частям, т.е. составляются частные сетевые графики, а затем составляется сводный график. Процесс объединения (сливания) частных графиков в общий сопровождается выявлением и ликвидацией несовместимостей, различных неувязок и упрощением локальных графиков.
Составление сетевых графиков ведется в три этапа.
На первом этапе формулируется задание, которое определяет конечную цель проекта. Выделяются также и взаимосвязанные промежуточные цели. Они определяют уровень выполнения проекта и являются частными задачами.
На втором этапе составляется структурная схема разработки, т.е. «дерево разработки», которое наглядно показывает объем и этапы работ. Для составления структурной схемы проект делится на подсистемы, подсистемы на комплексы, комплексы на элементы.
На третьем этапе составляется:
- перечень работ;
- время их выполнения;
- устанавливается последовательность работ, т.е. определяется, какие из работ должны быть закончены, чтобы могла начаться следующая;
- определяется, какие из работ могут выполняться одновременно с данной работой.
На построенном сетевом графике работы идентифицируются номерами начального и конечного событий (
), причем
. После построения сети, для удобства работы с ней, работы нужно перенумеровать. Для этого можно воспользоваться графическим способом упорядочивания вершин графа по рангам (методом вычеркивания дуг):
1) исходящую вершину отнесем к рангу 0 и присвоим ей номер 1;
2) вычеркиваем все дуги, выходящие из вершины 1, и отнесем события, оказавшиеся без входящих дуг к первому рангу. Этим событиям присвоим в произвольном порядке номера 2, 3, …, 

.
3) вычеркнув все дуги, выходящие из вершин предыдущего ранга
, отнесем вершины, оказавшиеся без входящих дуг, к рангу
. Присвоим им номера
и т.д.
Этот шаг повторяем до тех пор, пока все вершины не будут пронумерованы.
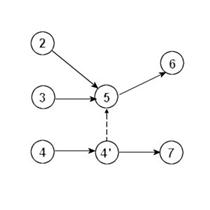
Пример 10.1. Упорядочить по рангам орграф, изображенный на рис. 10.4.


Рис.10.4
Решение. Найдем вершины, степень входящих дуг которых равна нулю, т.е.
. Таких вершин две:
и
. Вычеркнем выходящие из вершины
и
дуги. Отнесем вершины
и
к первому рангу. На полученном графе, рис. 10.5,

Рис. 10.5
на котором вычеркнутые дуги нанесены пунктирной линией, снова находим вершины, степень входящих дуг которых равна нулю:
. Очевидно, что это условие выполняется для вершины
. Вершину
относим ко второму рангу, и т. д. Упорядоченный по рангам граф представлен на рис. 10.6.
![]() | ![]() | ||
![]() |
т. м ко второму рангувыполняется для вершины Рис.
Рис. 10. 6


