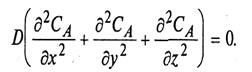
![]() |
•Следовательно, при объемной скорости на входе и выходе Wвх = Wвых
![]() |
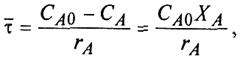
Время, необходимое для завершения реакции со степенью превращения ХА, равно
![]() |
где t - среднее время, в течение которого обновляется содержимое проточного реактора, причем = Uр:W (Up~ объем реакционной зоны, м3); W'- объемная скорость, м3/м3 • ч
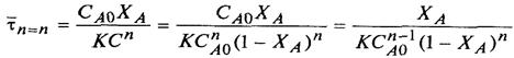
•Для простой гомогенной односторонней реакции n-гo порядка
![]() |
где К- константа скорости превращения.
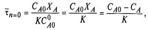
Для реакции нулевого порядка
![]() |
где СА- конечная концентрация компонента А.
Для реакции первого порядка
![]() |












