КЛАССИФИКАЦИЯ ХИМИЧЕСКИХ РЕАКТОРОВ
Наиболее рациональные признаки классификации химических реакторов следующие:
• способ организации процесса, в котором участвует химический реактор (РХ), - периодический, полунепрерывный, непрерывный;
• режим движения реакционной смеси (смешение, вытеснение);
• тепловой режим в реакторе;
• фазовый состав реакционной смеси;
• конструктивные характеристики реактора.
Способ организации процесса. В реакторе периодического действия рабочий цикл включает загрузку реагирующих веществ, проведение химического или физико-химического превращения, выгрузку продуктов реакции или физико-химического превращения, подготовку реактора к новому циклу. Производительное время пребывания реагирующих веществ равно времени, необходимому для полного свершения процесса взаимодействия до заданной степени превращения. Полное время цикла равно сумме длительностей всех операций. Производительность такого аппарата ниже производительности реактора непрерывного действия.
Вреакторе полунепрерывного действия одну из операций-подачу сырья или вывод готового продукта - проводят периодически в зависимости от свойств ФХС, положенной в основу ХТП.







Так, в некоторых случаях накопление целевого продукта отстает от всех предыдущих операций, и тогда целевой продукт выдают по мере его накопления, периодически. Если целевой продукт необходим непрерывно, его подают непрерывно, а сырье - периодически. Так получают диоксид углерода из карбоната кальция в производстве кальцинированной соды. Газ, получаемый в газогенераторе, подают непрерывно, а перерабатываемое твердое углерод содержащее сырье - периодически. Производительность такого аппарата также ниже производительности аппарата непрерывного действия, но степень превращения может быть выше, чем в аппарате непрерывного действия.
В реакторе непрерывного действия все операции по получению целевого продукта (подача реагентов, химическое или физико-химическое превращение, вывод получаемого продукта) выполняют одновременно. Затраты времени на загрузку, выгрузку и подготовку аппарата к проведению реакции отсутствуют.
На крупнотоннажных химических производствах большая часть или все операции переработки сырья непрерывны. Длительность пребывания отдельных частей сырьевого потока в аппарате - величина случайная. Практическая степень превращения в отдельных частях потока в аппарате непрерывного действия также величина случайная. Это функция распределения длительности пребывания отдельных частей потока и определяется гидродинамическим режимом аппарата.
Режим движения реакционной смеси. В зависимости от гидродинамического режима реакторы подразделяют на реакторы смещения и реакторы вытеснения. В полной мере практически невозможно исключить в реакторах вытеснения некоторое смешение реагирующих компонентов по длине (высоте) реактора. В реакторах смешения также нельзя полностью исключить небольшие зоны неравенства концентраций. Поэтому модели таких реакторов принято называть реакторами идеального смешения (РИС) и реакторами идеального вытеснения (РИВ). С внесением необходимых поправок модели РИС и РИВ можно использовать на практике.
Процесс смешения в РИС должен быть организован таким образом, чтобы в любой точке аппарата были абсолютно одинаковые условия по концентрации реагентов, продуктов реакции, степени превращения, температуре, скорости химического или физико-химического превращения и т.д.
• Реактор идеального смешения периодического действия:
• aA+bB —> dD +-ΔH
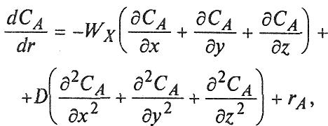
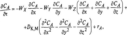
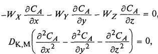
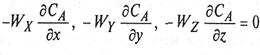
• Уравнение материального баланса по одному из исходных веществ:

где Cа - концентрация А в реакционной среде; х, у, z - пространственные координаты; Wx WY Wz - составляющие скорости потока; Dк,м - коэффициент конвективной и молекулярной диффузии; r - скорость реакции как функция СА.
• Но так как во всем объеме все параметры одинаковы производная любого порядка от концентраций по х, у, z равна нулю, следовательно

уравнение можно записать в виде полного дифференциала:

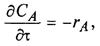
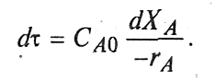
где r A - скорость реакции (функция убыли компонента А).
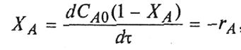
• Если взаимодействие не сопровождается изменением объема реакционной смеси, то скорость, выраженная через степень превращения компонента А, (ХА), равна

где CAO - начальная концентрация компонента А; ХА - заданная степень превращения компонента А.
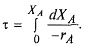
•Время, необходимое для достижения степени превращения
![]() |
• Xа, составит
Интегрируя уравнение, получают
![]() |
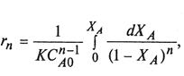
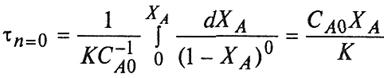
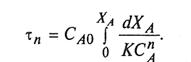
Подставив значение скорости простого одностороннего пре, вращения n-го порядка (~rA= КСnА, где К - константа скорости превращения), получают уравнение
Если
![]() |
то


где Са = САО– САо Хр.
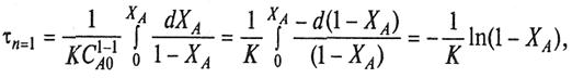
![]() |
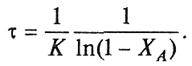
Для реакции первого порядка из уравнения
![]() | |||
![]() |
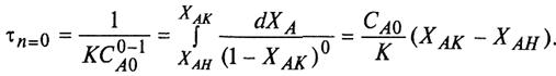
•Если начальная степень превращения Хн не равна нулю, а равна Хан, конечная ХАКвзята из уравнения, получают уравнение для расчета.
•Для реакции нулевого порядка
![]() |
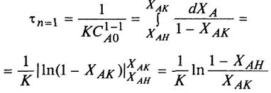
Для реакции первого порядка
![]() |
•Все значения, полученные для РИС-П, характеризуют время, необходимое для проведения реакции до данной степени превращения. Общая длительность операции в РИС-П равна сумме продолжительностей химической реакции и вспомогательных операций
![]() |















