СРАВНЕНИЕ ЭФФЕКТИВНОСТИ ХТП ПРИ ИСПОЛЬЗОВАНИИ
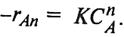
Скорость простой необратимой реакции n-го порядка
![]() |
(10)
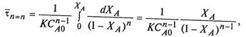
Подставляя в уравнение
![]() |
(11)
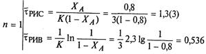
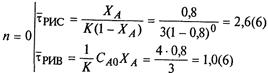
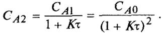
(12)
![]() |
(13)
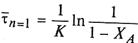
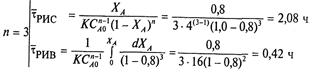
Расчет t произведен по уравнениям (11-13) для РИВ и аналогичным для РИС
(14)
![]() |

К=5
![]() | ||||
![]() | ||||
![]() | ||||
![]() | ||||
•Каскад реакторов идеального смешения
•Каскад состоит из m проточных реакторов полного смешения через которые последовательно проходит реакционная смесь
![]() |
Материальный баланс для m- го реактора, в котором протекает реакция
![]() | ||
![]() |
Имеет вид:
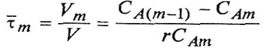
А средняя длительность пребывания:
![]() |
Где Vm– реакционный объем m-го реактора, V – объемный расход реакционной смеси через m – ный реактор, CA- концентрация реагента А в реакционной смеси
В зависимости от уровня изученности кинетики процесса число реакторов в каскаде определяют аналитическим или графическим методом.
В зависимости от уровня изученности кинетики процесса число реакторов в каскаде определяют аналитическим или графическим методом.
|
|
|
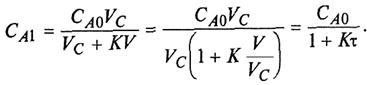
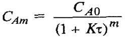
Для одностороннего химического процесса первого порядка в первом реакторе оно имеет вид
![]() |
где V с- расход смеси; V- объем реактора; СAm- концентрация реагента в m-м реакторе; К- константа скорости превращения.
Из уравнения для первого реактора:
![]() | |||
![]() |
Для второго реактора
а
![]() |
Следовательно, для m-го реактора:
![]() |
Из уравнения, если заданы изменения концентрации или степени превращения, можно найти число реакторов в каскаде:
![]() |
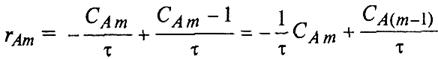
Графический метод основан на уравнении
![]() |
Где СА– конечная концентрация, rA- скорость превращения
![]() |
rA- скорость превращения в m-м реакторе.
-это уравнение прямой, описывающей зависимость концентрации продукта на выходе из реактора от скорости реакции в нем. При равенстве объемов всех реакторов величина СА(т ~ i)/ t постоянная, и описываемая прямая имеет тангенс угла наклона (-1/t).
Значения rАт и САт из уравнения (2.39) могут быть взяты только те, которые удовлетворяют уравнению скорости реакции
![]() |
где f – активность компонента А
МОДЕЛИ РЕАКТОРОВ С НЕИДЕАЛНОЙ СТРУКТУРОЙ ПОТОКОВ
Разработаны две модели учета неидеальности потока, в некоторой степени приближающие расчеты к существующим в реакторах и реакционных агрегатах реальным процессам. Первая из них основана на мысленной замене реального реактора некоторой комбинацией идеальных аппаратов (ячеечная модель), вторая - на введении большего физического обоснования в системе математического описания процесса, в том числе и с помощью математических операторов (однопараметрическая диффузионная модель).
|
|
|
• Ячеечная модель. Реальный аппарат расчленяют на N последовательно соединенных реакторов идеального смешения (ячеек). Сумма всех ячеек равна объему проектируемого реактора. Такой подход вытекает из организации каскада реакторов РИС-Н;
•Каскад при N ~ 1 представляет собой единичный реактор идеального смешения, а при N = и бесконечно малых объемах секций dV - реактор идеального вытеснения.
•Как правило, при N < 10 можно удовлетворительно описать реальный реакционный узел в реакционном агрегате. Число ячеек, представляющее реальный реактор, - единственный параметр ячеечной модели. Зная необходимое число N, рассчитывают каждую ячейку идеального смешения.
• Однопараметрическая диффузионная модель.
• В диффузионной модели учитывают перемешивание реакционной смеси в осевом направлении, которое происходит благодаря различным видам диффузии. Изменение концентрации реакционного компонента в связи с появлением турбулентной или тейлоровской диффузии описывают как и при молекулярной диффузии, но с применением коэффициентов Dтурб. или Dтейл.
•В расчеты по этой модели вводят некоторые условия по аналогии с системой аксиом:
•- по сечению реактора, перпендикулярного оси аппарата, состав не изменяется, изменения происходят только вдоль оси аппарата;
•- в аппарате отсутствуют застойные зоны и байпасные потоки
•При составлении уравнения материального баланса принимают модель идеального вытеснения по веществу А,
•элементарный объем реактора
• dVp = FdZ
• промежуток времени d.
•В соответствии с принятыми допущениями концентрация компонента, зависит от двух переменных:
• при нестационарном режиме СА = CA(Z,)
• при стационарном только от координаты CA(Z).
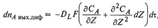
•Реагент А поступает в dV за d t путем конвективного и диффузионного переноса:
![]() |
Диффузионный перенос вещества А выражают в структуре уравнения Фика.
Коэффициент диффузии DL объединяет вcе виды диффузии при продольном перемешивании:
![]() |
Где - градиент концентрации в сечении Z по направлению переноса.
![]() |
•При изменении координаты возможно приращение концентрации на
(¶CA/¶ Z) dZ и увеличение градиента концентрации на
(¶ 2CA/ ¶ Z2) dZ
![]() |
В результате этого
![]() |
![]() |
где п ~ удельный выход каждого вида изменения концентрации А
V~ объем реактора; Vр - объем реакционной смеси.
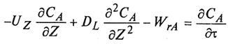
Преобразовав и соединив все виды п в единое уравнение Получают уравнение, описывающее нестационарный процесс ] Реальном реакторе при наличии продольного перемешивания:
Преобразовав и соединив все виды n в единое уравнение получают уравнение, описывающее нестационарный процесс в реальном реакторе при наличии продольного перемешивания:
![]() |
![]() |
где Uz= n - F- линейная скорость потока в реакторе по его оси
![]() |
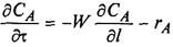
При отсутствии осевого перемешивания
Уравнение принимает вид:
где dl ~ dZ; W= vF, м/с.
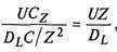
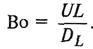
Воспользовавшись методами подобия, получают критерий, отражающий эффективность конвективного переноса вдоль оси (высоты) аппарата и диффузионного перемешивания:
![]() |
где U- линейная скорость; Z- линейный размер, равный L.
Отсюда критерий Боденштейна (Пекле) равен
В том случае, когда в реакторе большие линейные скорости или низкие значения продольной диффузии, величина Во большая и интенсивность продольного перемешивания низкая,
т.е. Во -» µ и реактор является реактором идеального вытеснения.
При Во -» 0 реактор является реактором полного смешения.




































