ПЛАН ЛЕКЦИИ
Лекция 5
Показывает степень приближения системы к идеальной
Преобразуется в энергию. Эксергетический коэффициент
Остается постоянной. В необратимом процессе эксергия
В обратимом процессе сумма эксергии до и после процесса
ВЫВОДЫ
2.Химические реактора классифицируют по:
-способу организации процесса
-режиму движения реакционной смеси
-тепловому режиму
-фазовому составу реакционной смеси
-конструктивным особенностям реактора
- Реактор идеального вытеснения (РИВ)
- СРАВНЕНИЕ ЭФФЕКТИВНОСТИ ПРОТОЧНЫХ РЕАКТОРОВ ИДЕАЛЬНОГО СМЕШЕНИЯ И ИДЕАЛЬНОГ ВЫТЕСНЕНИЯ
•Уравнение материального баланса в дифференциальной форме для РИВ при нестационарном режиме имеет вид:
(1)
Так как
(2)
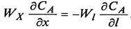
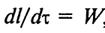
Если направление оси аппарата совпадает с осью х, то
![]() |
(3)
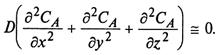
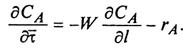
В объеме dV молекулярной диффузией можно пренебречь и положить
![]() |
(4)
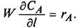
•При стационарном режиме:
(5)
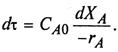
Если объем реакционной смеси постоянен (не меняется),
|
|
|
то dCA = -CAOdXA
Т.е. это убыль компонента реакционной смеси вследствие химического или физико-химического превращения. В любой момент времени t

(6,7)
Подставив значения w и dl в уравнение (5), получают
![]() |
(8)
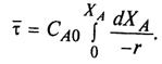
После интегрирования в пределах от 0 до ХАК
![]() |
(9)










